Abstract
Abandoned, lost, or discarded fishing gear is a major and growing source of marine plastic pollution worldwide, with particularly severe impacts in the Hawaiian Archipelago, where debris transported by the North Pacific Subtropical Gyre accumulates at high densities. Among the most distinctive and harmful components of this debris are plastic tubular traps and trap entrances used in eel and hagfish fisheries across the North Pacific Ocean. We present the first basin-scale forensic assessment of derelict eel and hagfish trap gear across the North Pacific, combining analysis of 21,891 items collected from 2021–2024 with multinational field investigations and port visits to identify gear sources and inform mitigation strategies. The study documents both the geographic extent and long-term persistence of this gear in the marine environment. Distinctive gear characteristics and comparison of fishery sizes enabled inference of relative national contributions. Large mechanized offshore fleets operating in the East China Sea, particularly from South Korea and China, are major sources of derelict eel trap entrances, while smaller coastal fisheries from Japan, Taiwan, and the western USA contribute comparatively much less. This derelict gear poses significant ecological risks at many trophic levels through entanglement, ingestion, habitat damage, and ghost fishing, including affecting rare and critically endangered species. We introduce a hierarchical framework for tracing fishing gear from ocean-basin patterns to specific fisheries and pair it with a sequential mitigation hierarchy to guide fishery-specific interventions. Together, these findings advance both scientific understanding and practical management approaches for reducing fishery-derived plastic pollution at a multinational scale.
Keywords:Source identification; Marine debris; Eel fisheries; North Pacific Ocean; ALDFG
Abbreviations:AK: Alaska; ALDFG: abandoned, lost, discarded, fishing gear; CA: California; China: People’s Republic of China; CNMI: Commonwealth of the Northern Mariana Islands; DEFG: derelict eel fishing gear; DFG: derelict fishing gear: ETE: eel trap entrances; ETT: eel trap tubes; HA: Hawaiian Archipelago; KAK: Kabushikigaisha Abe Kogyo; MHI: Main Hawaiian Islands; mt: metric tonnes; NOAA: National Oceanic and Atmospheric Administration; NPGP: North Pacific Garbage Patch; NPO: North Pacific Ocean; NWHI: Northwestern Hawaiian Islands; OR: Oregon; PMDP: Papahānaumokuākea Marine Debris Project; South Korea: Republic of Korea; SFJ: Surfrider Foundation Japan; USA: United States of America; WA: Washington
Introduction
Worldwide attention to the issue of abandoned, lost or discarded fishing gear (ALDFG) has grown substantially; its causes, magnitude, impacts, mitigation methods and evidence-informed management, have been reviewed and synthesized repeatedly [1- 6] as the amount of ALDFG in the world’s oceans has increased dramatically [7,8]. This has been especially documented in the Hawaiian Archipelago (HA) where community beach cleanup groups are overly burdened by marine debris accumulations and strive to “turn off the tap” on the most abundant types of ALDFG [9,10]. Our paper is a case study of the impact of derelict fishing gear (DFG) from the international eel and hagfish trap fisheries of the North Pacific Ocean (NPO), the means to identify its sources, and efforts to reduce its discharge into the NPO. We use the term “eel” throughout this report to encompass both eels and hagfish, as the same type of trap is used for both anguilliform species. We used forensic analysis of derelict eel fishing gear (DEFG) collected throughout the margins of the NPO and site visits to fishing ports in the region, to identify specifically the sources of abundant and deadly DEFG washing ashore in the HA. We describe a conceptual framework for determining the origin of the DEFG, from a broad, ocean basin-wide view, to identifying country, region, harbor of origin, boat, and ultimately fishermen. Having identified source locations, we define the immediate causes of discharge (leakage) into the ocean and then apply an investigative framework of fisheries-specific intervention and mitigation [11].
The HA extends 2,400 km in the middle of the NPO (Figure 1), and its coral reefs and land masses act as a sieve for marine debris, driven by strong easterly or northeasterly trade winds and carried by ocean currents of the North Pacific Subtropical Gyre, from coastal and oceanic fishing fleets of countries at NPO margins. Studies of the North Pacific Garbage Patch (NPGP) calculate it contains 45-129 thousand metric tonnes (mt) of floating plastic [12,13]. By mass, 52% is fishing nets, ropes, lines and 47% hard plastic items (buoys, floats, crates, boxes, eel traps) mainly associated with fishing [13]. Further studies estimate 75-86% of the floating plastic mass (> 5 cm) in the NPGP could be considered ALDFG [14]. Pieces of eel traps alone comprise 5.1% by count of the hard plastic pieces > 5 cm, excluding nets and ropes, and 18.4% by weight [14] for an estimate of 4-10 million pieces of eel traps floating in the NPGP (The Ocean Cleanup, Mathias Egger, personal communication 2021) [15].
Marine debris on shorelines of the HA are also dominated by plastic fishing nets, ropes, floats, buoys, traps, and hard plastic boxes and crates arriving in the Hawaiian Islands from distant sources after floating for extended periods of time in the ocean [9,16-23]. This gear does not come from Hawaiʻi’s local coastal or oceanic longline fisheries [9,10,24-26] but is predominantly discarded from the five industrialized fishing nations bordering the NPO: People’s Republic of China (China), Republic of Korea (South Korea), Japan, Taiwan, western United States of America (USA) and unregulated fishing activity [14,15]. Dameron et al. offer a conservative estimate of 52.0 metric tonnes per year (mt/ yr) accumulation in the northwestern Hawaiian Islands (NWHI) based on a 2005 study [18].
Comparable masses of marine debris have also been collected from the shores of the Main Hawaiian Islands (MHI). Berg et al. [10] documented interannual variations in marine debris weight removed over the decade 2013-2022, with an annual average of 32.9 mt per year (mt/yr) for the island of Kauaʻi and 14.3 mt/yr for the island of Hawaiʻi. Royer et al. [9] report studying a portion of ALDFG from Oʻahu during the period September 2019 to December 2021 at 2.8 mt/yr. This indicates a combined conservative average rate of accumulation of 50.0 mt/yr across the MHI for that time frame. Subsequent years, when the NPGP was closer to the MHI, showed marked increases in mass, reaching in 2024 a total of 69.7 mt on Kauaʻi and 24.9 mt on Hawaiʻi. For Kauaʻi, the conglomerate of nets/ropes/lines accounted for 51.6% of the total weight, while hard plastic crates/floats/buoys/eel traps accounted for 25.2%. On Hawaiʻi, net/line conglomerates accounted for 42.6% of total weight during the study decade. McWhirter [27] notes that nets and lines make up to 98% of the mass of conglomerates retrieved from Oʻahu, Midway Atoll and the pelagic NPGP.
Entanglement by ALDFG is recognized as one of the greatest threats to seabirds, marine mammals, and sea turtles [1,3,28,29]. There have long been efforts to remove large masses of ALDFG in the NPO because they entangle and kill corals [30], associated coral reef invertebrates and vertebrates across trophic levels, including seven species of seabirds [31], threatened Pacific green sea turtles (Chelonia mydas), and rare and highly endangered Hawaiian monk seals (Neomonachus schauinslandi) [18,24,25,32-34]. Baker and colleagues [15] report that DFG accounted for 76% of monk seal entanglements observed and reviewed the effectiveness of four decades of DFG conglomerate removal efforts on the population of M. schauinslandi in the NWHI.
Not usually a part of the conglomerates, but harmful to marine life by both entanglement and ingestion, hard plastic cone-shaped eel trap entrances (ETE, Figure 2A) comprise DEFG on shores throughout the North Pacific. This debris is distinctive and abundant, as illustrated in catalogs of fishing gear on the west coast of the USA [35] and as marine debris [36]. They are also illustrated as common in marine debris throughout the NPO, including Taiwan [37,38], Japan [39,40], Korea [41] and the NPGP [14] and have long been recorded in beach surveys of the NWHI [42].
The hard-plastic cone-shaped ETE used throughout the NPO are composed of two parts (Figure 2), the upper basket and lower funnel. Those parts may be injection molded as one piece, or separately and fitted together. ETE are inserted into the open end of the eel trap tube (ETT, Figure 3), or onto the buckets and barrels used as hagfish traps in the USA [35].



Derelict eel fishing gear (DEFG) accounted for 1.8% of the total items counted on beaches in the NWHI [20], where it increased from 0% to 30% of the items known to entangle monk seals, over the period 1987 - 1996 [42]. There are fewer quantitative accounts of DEFG from the MHI [9,10,23]. A total of 21,458 ETE and 433 ETT were recorded from the HA during our 2021-2024 project period. The abundance of DEFG in waters and on shores of the HA has the potential to impact marine life through many trophic levels via entanglement and ingestion, especially on marine-protected species.
Eel trap baskets (Figure 2) become entangled on the snout of monk seal pups (Figure 4A; Supplemental material 1.) as pups explore and play with potential food items after weaning from their mothers. Once entrapped, the pups are unable to forage and ultimately die [43]. When removed, the ETE may leave a visible bloody wound (Figure 4B) which tends to heal quickly. Of all the monk seal DFG entanglements reported from the NWHI, 8.7% were DEFG during 1982-1998 [42] and 10.1% during 2000- 2020 [34,43]. A spinner dolphin (Stenella longirostris) was also observed off Hawaiʻi Island with a basket on its snout, which it self-released [44].

Ingestion of marine plastic has been considered second only to entanglement in its impact on marine seabirds, sea turtles, and marine mammals [1,2]. In the NPO, identifiable pieces of ingested ETE have been extracted from a dead sperm whale (Physeter macrocephalus, University of Hawaiʻi Health & Stranding Laboratory), Northern elephant seal pup (Mirounga angustirostris, The Marine Mammal Center), and both green sea turtles (Chelonia mydas), and olive ridley turtles (Lepidochelys olivacea) [45], all are protected species. In the case of the sperm whale, seven pieces of ETE and other plastic debris were found blocking passage of food from the stomach to the intestine, likely causing the whale to starve to death. A whole, new looking, ETE was removed from the gut of a shark or marlin, at a fish market in Taiwan. Half of an ETT was observed in the gut of a dead pilot whale (Globicephala macrorhynchus) in Hawaiʻi and numerous ETT were found with large bite marks, presumed to be from sharks (Supplemental material 1).
The threat of ingestion of plastic, including DFG, to seabirds is pervasive [46] and the regurgitated boluses of Laysan albatross (Phoebastria immutabilis) from the HA have been found to contain macroparticles of DEFG from the NPGP [47]. Meanwhile microplastics and nanoplastics enter marine food chains at all levels through ingestion directly or through trophic transfer by consumption of prey [48-51]. While microplastic debris is generally too small to be assigned as DEFG, black microparticle fragments of unknown origin were the third most commonly found color in fledglings of wedge-tailed shearwaters (Ardenna pacifica) and Newell’s shearwaters (Puffinus newelli) on Kauaʻi [52].
Eel trap entrances potentially obstruct beach nesting of Laysan albatross (Phoebastria immutabilis) and Black-footed Albatross (Phoebastria nigripes) on the NWHI, where the birds have to navigate debris covered beaches to find a place to make a nest, and where entrances of nesting burrows for Bonin petrel (Pterodroma hypoleuca) are partially blocked by the ETE (Supplemental material 1).
The greatest impact of DFG may not be in surface waters or on shores, but rather on the ocean floor where lost or discarded DFG are no longer under a fisherman’s control and continue to function as “ghost gear”. Current reviews [6,53] enumerate the effects of ghost fishing to include habitat destruction, environmental degradation, biodiversity loss, fisheries depletion, and economic loss. Littering the bottom, DEFG may cause benthic habitat destruction and continued fishing may lead to stock depletion and marine pollution effects. ETT and ETE float in seawater, being generally made of mixtures of polypropylene (PP) and polyethylene (PE) [54]. Therefore, ETT are weighed with stones or pieces of metal to make them lay on the shallow water coral or deep ocean seafloor. Actively fished or derelict, they will continue to catch animals as long as the ETE remains intact. DEFG has been documented littering the sea floor south of Korea at an average of 34 traps/km2 and up to 25% of the ghost traps are still catching [55]. Lee et al. [56] reported, for the same area, a litter density of 13.3-255.8 kg/km2 primarily composed of eel traps, along with a significant amount of fishing nets. In waters of the south of the Korean peninsula and around Jeju Island, eel traps comprised 2% by weight of the benthic marine debris [57]. In waters off Busan, South Korea, eel traps comprised 59.9% by number and 53% by weight [58]. In the East China Sea, litter densities ranged from 0-102.5 kg/km2 with fewer DEFG attributed to less fishing activity in that area [56]. Bycatch included fish, octopus, and crabs [55,59].
Kanehiro et al. [60] reported DEFG containing dead fish was common in Tokyo Bay where eel fishing occurs, and that eel traps were more of a hazard than other litter due to ghost fishing. We observed a derelict eel trap on a Kauaʻi beach with decomposed moray eels and small reef fish. On Hawaiʻi Island, a similar trap contained a dehydrated moray eel and a mongoose that apparently had entered to feed on the eel. Both traps were not used locally, were thought to have floated in from Japan, and were stuck in shallow water before washing ashore. This is perhaps the first description of DFG ghost fishing both marine and terrestrial animals.
Having established the magnitude of both the amount of ALDFG coming ashore in the HA and its impact on marine ecosystems, we engaged in a multinational collaborative effort with the ultimate goal of identifying the actual users of eel trap gear at the level of commercial fishing fleets, fishing cooperative associations or unions, individual fishing boats, or individual fishermen. Then for each fishery, a follow-on aim was to determine possible ways and frequency by which the ETE or ETT are abandoned, lost, discarded, or swept into the ocean by extreme weather events. Finally, efforts were made to discuss fishery-specific education and mitigation efforts to reduce or halt the discharge of DEFG into the Pacific Ocean.
Methods
We designed a hierarchical conceptual framework (Table 1) for source identification of ALDFG from multinational margins of the NPO basin and made adaptive changes in response to discoveries inherent in a multi-year, multi-cultural international effort with the collection of tens of thousands of pieces of DEFG. It started by identifying the largest geographic area in which the gear was found, and then focusing with increasing specificity on species distribution, forensic analysis of DEFG, and culminating in visits with the fishing company, boat, or fishermen responsible for its discharge into the ocean.

Derelict eel fishing gear distribution and abundance
In order to get an estimate of the spatial distribution and
relative magnitude of collections of DEFG washed ashore, four
methods were employed throughout the North Pacific region:
a) Survey scientific and general literature and information
on the internet. Surfrider Foundation reviewed the existing
literature on marine debris in the HA and countries around the
NPO basin, including the North American west coast, Japan, South
Korea and Taiwan. Web images of shorelines, marine debris, and
of marine debris organizations were searched for debris.
b) Based on location, the method was adapted to connect
with a broad audience of organizations, citizen scientists, and
community groups in each region to ensure comprehensive
geographic coverage. Surfrider Foundation sent digital posters to
its members in Hawaiʻi and the USA, and co-authors in Taiwan,
Japan and South Korea sent out adapted versions (Supplemental
material 2).
Hawaiʻi and mainland USA: In Hawaiʻi and mainland USA,
Surfrider Foundation requested sightings of DEFG from the
general public through newspaper articles and social media.
We developed information flyers and posters distributed in
participating countries and an email collection system for
receiving and tabulating reports (hagfish@surfrider.org). Posters
and abstracts were presented at the 7th International Marine
Debris Conference (2022) in Busan, South Korea and collaborators
were recruited.
Taiwan: In Taiwan, IndigoWaters Institute reached out via
mailings of their poster and information to many organizations
throughout the country: the 10 largest beach cleanup groups, 8
marine education and innovation bases, 25 outdoor and marine
education centers, 2 marine-related museums, 26 coastal guard
sections and 22 local Environmental Protection Agency offices.
They also posted the message and the report link on Facebook,
the main form of social media in Taiwan.
Japan: In Japan it is common for people to clean up their
own neighborhoods, including beaches. Therefore, there are
countless beach cleanup activities with a variety of sizes, regions,
organizations, frequencies, and purposes making it difficult to
reach all of them. Surfrider Foundation Japan (SFJ) distributed
information and their poster through social network services and
collected information on the beach cleanups (Table 2).

South Korea, including Jeju Island: In South Korea, including JeJu island, a total of 104 governmental and non-governmental groups were identified through the Korea National Marine Debris Monitoring Program and online research as having conducted beach cleanups. Of those 104, only the 21 organizations conducting regular cleanups were contacted directly and an online poster was distributed to attract individuals as well as organizations.
c) Relative abundance of DEFG was identified through
beach cleanup programs. Multiple organizations were enlisted
that had been collecting and recording marine debris from the
shorelines throughout the Pacific region [9,10,61] (Table 2).
They were directed to specifically collect and record whole and
fragments of ETE and ETT (Figures 2 & 3). Shorelines were
targeted that had legacy accumulations of DEFG, as well as those
periodically cleaned. As methods and level of effort varied widely
in time (e.g., duration of cleanups, number of cleanups) and area
covered, few quantitative comparisons could be made.
d) Quantitative comparisons of DEFG density on shorelines
were obtained from participating partners’ data, determined by
either DEFG counts per length of shoreline surveyed or counts per
area of shoreline surveyed using beach transects [62]. Attempts
were made to glean data from community collections throughout
the North Pacific basin on the number of ETE/m of shoreline
cleaned or ETE/m2 of shoreline where measurements shoreline
width were made (Table 2). Gulf of Alaska Keepers recorded
counts of DEFG collected annually since 2011 from two-mile
stretches of log-covered rocky shorelines. In Hawaiʻi, data was
obtained from shoreline cleanups in both the MHI and the NWHI
along both sandy beaches and rocky coastlines where the length
of the shoreline was measured or approximated from Google
Earth digital images. In Japan, a series of beaches were surveyed
repeatedly mainly along the southern coastline of the Sea of
Japan in Fukuoka and the Pacific coast of Miyazaki prefectures. In
Taiwan and its ten major outlying islands, the 1,680 km coastline
was surveyed during May and September 2023 and during March
and May 2024 using 100 m transects every 10 km, representing
a 1% sampling coverage. Twenty bi-monthly sites were surveyed
around South Korea during 2008 - 2014 and forty during 2014 -
2017 as part of a national beach monitoring program [63,64].
Geographic distribution of potential DEFG sources
We reviewed the oceanographic literature and case studies of long-range drift of other types of marine debris to derive most probable pathways of DEFG distribution from coastal margins. Because there is no fishery in Hawaiʻi that uses the cone-shaped ETE or the plastic ETT (Figures 2 & 3) all of the DEFG found on shorelines of the HA arrived on ocean currents of the NPO, thereby establishing the NPO basin as the largest boundary for source identification. The eastern boundary of the NPO is the west coast of North America while the western boundary includes East Asian coastlines. The Bering Sea defines the upper limit of the NPO, while the north equatorial current defines its southern limit.
Geographic and ecological limits of targeted fisheries
Species distribution, depth range and supporting underlying environmental conditions of targeted species were derived from FishBase: A Global Information System on Fishes and the primary literature for the targeted anguilliform-shaped species in the marine families of hagfish (Myxinidae), conger eels (Congridae), and moray eels (Muraenidae).
Regional fishery contributions of DEFG
To test the hypothesis that the number of ETE found on the shores and attributed to each fishery would correlate to the size of each fishery, government fisheries catch or landing data for anguilliform-shaped species in the NPO was requested from fisheries officers and online databases for all western U.S. states (Alaska, Washington, Oregon, California) and British Columbia, Canada. National fisheries data for hagfish and eels were provided directly by the South Korean government, and found on government websites for China, South Korea, Taiwan and Japan. For each country, data were sought on the number of active eel/ hagfish fishing boats, their size (tonnage), the number of eel traps deployed each set, and the annual loss of ETE and ETT.
Forensic analysis of ETE and ETT by size, shape, hole patterns, and chemical composition
Eel trap entrances have a general cone shape, but some come apart into an upper basket and a lower funnel portion (Figure 2). ETE from collections from each of the five MHI and from the NWHI were sorted and the number of whole ETE and the portions thereof were counted. Notes were made if the items were structurally intact or damaged (>50% material missing). The outside diameter of the basket rim was measured and notes taken on whatever markings were on the upper face of the basket. In addition, a total of 5,561 standard images, looking down into the basket (Figure 2), were taken by authors CB and CK on Neewer 16”x16” photo light stands using an Apple iPhone in square photo mode at 1.1x or 1.2x magnification. Images were enlarged on a computer monitor and manually scored. Images of baskets were categorized by their diameter, number of rows and columns of openings in the basket, presence of a rectangular hole for straps, whether columns of similar size were paired, shape of the outside edge of the basket rim, and markings on the upper surface of the rim (Table 3). Images were step-wise sorted by combinations of categories, with potentially up to 49,152 distinct varieties. The most common varieties were compared with ETE of known manufacturers or users to identify their source.

ETT are plastic tubes (Figure 3) that were initially categorized on the basis of if they were open at both ends to accept ETE, or if one end was pointed with a form or mechanism to attach a groundline. Further sorting was done on the basis of if it was a complete tube or just a piece, total length, circumference, number of columns and rows of holes, number of ridges, number of bumps, hole diameter and markings.
In an attempt to identify manufacturers of ETE, new and shoreline-collected derelict ETE were sent to Hawaiʻi Pacific University’s Center for Marine Debris Research for polymer analysis using attenuated total reflection-Fourier transformed infrared spectroscopy (ATR FT-IR) and differential scanning calorimetry (DSC) methods described in [65,66]. Results were compared to previous studies of source identification of DEFG using polymer analysis done at that laboratory [27,54]. Samples of derelict ETT and ETE, and new ETT from Kabushikigaisha Abe Kogyowere (KAK) factory, were analyzed by Dr. Jinkee Hong, Yoojin Lee and Yoonsung Noh in the Department of Chemical and Biomolecular Engineering, Yonsei University, Seoul, South Korea. Samples were analyzed for polymer composition by FT-IR spectroscopy and X-ray photoelectric spectroscopy (XPS) [67]. Inductively coupled plasma mass spectrometry (ICP-MS) and Energy Dispersive Spectroscopy (EDS) were used for analysis of element adsorption to the plastic [68]. Surface polymer aging was visualized by scanning electron microscopy (SEM) [69].
Biofouling analysis
The provenance of attached macroinvertebrate remains on DEFG suggests the origin of such gear, especially if the species are sessile and not oceanic in distribution. A collection of 121 pieces of ETE collected from Maui, Lānaʻi, Hawaiʻi and Kauaʻi islands were sent to Dr. James T. Carlton for identification of attached macroinvertebrates because of his extensive experience identifying biofouling organisms in the North Pacific, especially from the Japanese Tōhoku tsunami of 2011 [70-73].
Sales and e-commerce investigation
Participants in the project, from each of the four countries, identified sellers of ETE and ETT to thereby try to discover the manufacturers and the purchasers of the gear. Site visits were made to retail stores (e.g., marine and fishing supply stores) in each country and inquiries made of sales personnel. E-commerce online searches were made under key terms (eel, hagfish, marine eel, eel fisheries, eel traps, eel pots) by co-authors from Japan, Korea, Taiwan and the USA in their respective languages and e-commerce servers. Images obtained of ETE and ETT were compared with DEFG to help determine their source.
Manufacturer identification marks on DEFG
DEFG were examined for lettering or markings embossed on the upper surface, or inside the rim, of ETE baskets (Figure 2) or sides of the ETT (e.g., Figure 3C). Images of markings were shared amongst multilingual co-authors for interpretation and translation into English and a catalog was made of each example (available upon request). We made direct contact with and visited five manufacturers in South Korea (Yooil Industry, Youngjin Industry, Tongyeong Tongbal, Gosung Tongbal, Bukyoung Industry) and one in Japan (KAK) to identify the many types of embossed markings, view the manufacturing process, and discuss sales.
User-specific identification marks on DEFG
DEFG were examined for lettering, markings, or logos melted (hot metal branded or flame melted) on the outer surface of ETT (e.g., Figure 3C). Images of markings were shared amongst multilingual co-authors for interpretation and translation into English and a catalog was made of each example (available upon request). A catalog of brandings was shown to fishermen for help in identification of the sources of the ETT.
User confirmation through site visits
Co-authors in all four participating countries visited ports where eel or hagfish fishing boats operated, examined gear both on the docks and on fishing vessels, and spoke with fishermen about the gear that was used and was lost.
Results
Derelict eel trap-fishing gear (DEFG) is ubiquitous throughout the North Pacific Ocean (NPO) Basin
Using personal contacts, review of the published literature and review of images of marine debris found through internet searches, DEFG was broadly detected in the eastern NPO on shores of North America from the Channel Islands, along coastal California, Oregon and Washington to the north into the Bay of Alaska, up into the Bering Sea, and in the western NPO, on the shores of Japan and Taiwan. DEFG were found on shores of the inland seas (Sea of Japan, Yellow Sea, East China Sea) in Japan, South Korea and Taiwan but records were not available for shores of China. In the mid-oceanic portion of the NPO, DEFG were found on the island of Saipan in the Commonwealth of the Northern Mariana Islands (15o 1’ N x 145o 47’ E), and throughout the HA from Kure Atoll in the Papahānaumokuākea National Marine Sanctuary (28o 23’ N X 178o 17’ W) in the northwest, to Hawaiʻi Island in the southeast (18o 54’ N x 155o 40’ W). In the southern central NPO, no DEFG were found in dedicated marine debris surveys on Palmyra Atoll, in the Northern Line islands (5o 88’N x 162o 04’W).
Responses to digital posters over the period 2022-2024 included 112 reports of 385 pieces of DEFG from Kauaʻi, Oʻahu, Maui, Lānaʻi, and Hawaiʻi islands, a total of six reports of eight pieces from the west coast of the USA (WA, OR, CA), one from Saipan (CNMI) and eight from JeJu island off South Korea (33o 27’ N x 126o 56’E). IndigoWaters Institute on Taiwan received 37 reports with 79 ETEs from the shorelines of Taiwan during the May 2023 to June 2024 project duration. In South Korea, five organizations and five individuals reported a total of 869 ETE and 5 ETT from around Jeju Island and at Yeosu in the East China Sea, from Ulleung island and the South Korean southeast shores of Donghae and Pohang in the Sea of Japan, and in northeastern South Korea at Incheon in the Yellow Sea.
Detailed information on the general abundance and distribution of DEFG was obtained from groups which systematically collected counts of pieces of ETE and ETT during their regular beach cleanup efforts. While historically Henderson [42] first reported ETE for the NWHI in 1987, and Scott [74] first reported sightings of ETE on beaches of Oʻahu in 2010, we completed the first quantitative surveys of ETE from Nukoliʻi beach, Kauaʻi, during annual International Coastal Cleanup collections. For 2016-2025 an average of 97.5 pieces of ETE were collected per event (n=8) and an average of 0.080 ETE/m (n=4). This project started in January 2021 and through 2024 colleagues collected and recorded 21,891 ETE and ETT from just the HA (Table 4). Some were legacy collections, i.e., the remote shoreline had not been cleaned routinely in years (Lānaʻi, Molokaʻi, Kahoʻolawe) and had amassed so much debris that it could not be collected and removed in the short time on the island. Collections on the NWHI were annual, short-term opportunities while NOAA personnel were performing endangered species monitoring and assessments. Collections on the remaining islands (Kauaʻi, Oʻahu, Maui, Hawaiʻi) were part of regularly scheduled beach cleanups and large community efforts to keep the beaches clean and efforts correlated with the amount of debris coming ashore [9,10].


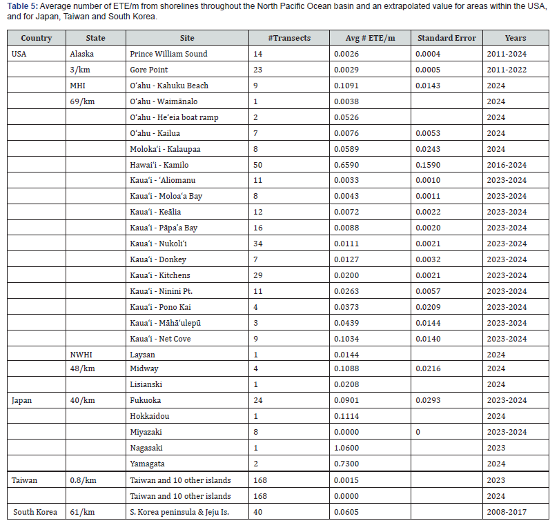
In 2024 regular beach cleanups on Kauaʻi averaged 266 ETE/ month; together with Oʻahu (141), Hawaiʻi (119), and Maui (136), the combined average was 662 ETE /month. Only 25 ETT/month were collected from all four islands combined. There was then a dramatic increase of 5.8 times in total ETE collected on Kauaʻi, Oʻahu, Maui, and Hawaiʻi between 2023 and 2024, and 15.8 times increase in ETT. This corresponds to a dramatic increase of ALDFG during the same period. The amount of ALDFG coming ashore in the HA is thought to be related to complex ocean dynamics and positioning of NPGP [10]. Henderson [42] reported an increasing number of ETE in the NWHI during the period of 1987-1996, coming ashore mainly on windward coasts as also reported in [10,23]. OSEAN [75] reported a gradual and slight increase in ETE/m on South Korea’s shores during the period from 2008 to 2017 with an average of 0.018 ETE/m of shoreline (Table 5).
Extrapolation from the limited data shows that ETE are present throughout the entire NPO basin at concentrations varying from 1.5/km of shoreline in Taiwan to 69/km in the MHI, with Japan, the NWHI and South Korea, in between, at 40/km, 48/ km and 61/km, respectively (Table 5).
On Kauaʻi and Hawaiʻi Islands’ transects were conducted following NOAA’s guidelines [62], including counts of ETE (Table 6) and transects on Oʻahu and Laysan were 100 m X 5 m and on Laysan 100 m x 1 m parallel to the waterline. On Lisianski, the entire beach was cleaned. Selection of sites and placement of transects were chosen irrespective of debris density. Extrapolation from the average ETE/m2 by 1 km of a 10 m wide beach equals 82 ETE /km of shoreline in the HA, comparable to estimates based on shoreline lengths alone (Table 5).

The summary of collection data from throughout the NPO basin shows the ubiquitous presence of ETE on shorelines, although ocean dynamics and physical coastline features will cause distinctly discontinuous abundance over time. Traps were especially abundant in the HA and there appears to be an increasing amount of ETE coming ashore since their first use in the 1970’s. The ubiquitous distribution demands a basin-wide effort to identify the sources and institute measures to both remove it from shorelines and stop it from being discarded into the ocean.
Derelict eel fishing gear (DEFG) is distributed from marginal fisheries throughout the North Pacific Ocean (NPO) by dynamic ocean currents
As there are no eel fisheries in the central Pacific, DEFG on Hawaii’s shores derives from continental margins of the NPO basin. Howell et al. [76] reviewed distribution and transport of floating marine debris in the North Pacific and Van Sebille et al. [77] summarized physical mechanisms of the flotsam drift. Outside of marginal seas, the North Pacific circulation consists of a system of equatorial currents and two large gyres, separated by the eastward North Pacific Current: the North Pacific Subtropical Gyre, swirling anticyclonically (clockwise) and ranging roughly between 10o-15oN and 40oN and the Subpolar Gyre with cyclonic rotation lying further north (Figure 5). Upon reaching North America, the North Pacific Current branches onto the northward flowing Alaska Stream and southward flowing California Current [78] (Figure 5). In the west, both gyres have the strongest western boundary currents: the northward Kuroshio and the southward Oyashio, respectively, which, after separating from the Japanese coast, extend to feed the North Pacific Current.
This circulation pattern is generated and sustained by surface winds with westerlies dominating mid-latitudes and easterlies prevailing in the tropics and subpolar regions. The crucial role is played by the Ekman dynamics [77], according to which the surface velocity vector of ocean current is directed at an angle (to the right in the Northern Hemisphere) from the steady wind direction. Ekman currents converge in the Subtropical Gyre where they create an area with the highest concentration of floating marine debris known as a “garbage patch”. In contrast, surface currents are divergent in the Subpolar Gyre, they produce upwelling in the central part of the gyre, and push flotsam to the gyre margins, increasing the probability of more marine debris washing ashore in the Gulf of Alaska [79].

At mid-latitudes, the Western North America continental shelf is swept by northeasterly trade winds generating offshore Ekman currents carrying plastic debris out into waters of the California Current [78]. This current carries the debris in its flow south and then westward where it joins the North Equatorial Current. Due to these offshore surface winds and currents, little DEFG is deposited on shorelines from Oregon to southern California.
Pathways of marine debris in the NPO have been extensively studied using ocean circulation models [16,80-84], which also explained the formation of the NPGP [13,80]. The 2011 Tōhoku tsunami provided a large volume of unique debris items drifting across the North Pacific that allowed a better understanding of the dynamics of their dispersal and sorting by ocean currents and winds [83,84].
It was shown that the fate of debris carried by the North Pacific Current strongly depends on its “windage” characterizing object exposure to the direct force of wind. High-windage objects (e.g., large buoys, foam) tend to deviate towards the north and end up in British Columbia and Alaska, and low-windage objects (e.g., ETE) tend to deviate towards the south and often enter the NPGP. Seasonal migrations of the split between the Alaska Stream / California Current expose Washington shores to beaching debris in winter months and reduce its influx in summer [85]. Debris may reside within the NPGP for 7-7.5 years [82] or longer but leaks back into the NPGP or onto shores of North America and the HA [9,10,13,54] following interannual changes in the wind system modulating location and pattern of the NPGP. Due to the long residence time, DEFG from all sources is thoroughly mixed in the NPGP by mesoscale eddies and other processes, so that precise source identification without additional information is difficult. The sudden arrival in 2024 of large amounts of marine debris, some clearly attributed to the 2011 Tōhoku tsunami by the painted markings on fish boxes, melted brandings on ETT, and metal discs on property survey stakes, allowed for more precise identification of the sources of derelict ETT in this study.
The Kuroshio Current is the major western Pacific boundary current that runs along the eastern shores of the Philippines and Taiwan, west of Ryukyu Island, and east of the Japan Archipelago ([86], Figure 6). The chain of the islands forms the western margin of the NPO and separates it from the inner and marginal Sea of Japan (called the East Sea by the Korean government) (Figure 6), Yellow Sea, and East and South China Seas. Korea and China border these seas to the west. Occasionally, the Kuroshio enters the South China Sea and splits into currents flowing east of Ryukyu Islands, around Taiwan [87-90] and through the marginal seas and into the East Sea [87].

The Asian monsoon has pronounced effects on regional winds and currents [87-89]. Their patterns within the Sea of Japan, Yellow Sea, and East China Sea are seasonal. The Kuroshio Current along the continental margin also displays seasonal variations [87] (Figure 6) in addition to meandering on time scales from months to years. The Kuroshio Current receives marine debris generated by extensive multinational fisheries in both the inland seas and those off the coast of Japan and carries it into the NPO [90]. The complex dynamics of the seasonal variability of currents in the western Pacific region account for the widespread distribution of DEFG and creates difficulties for precise source identification.
Geographic and ecological conditions limit the distribution of eel trap fishing to margins of the North Pacific Ocean (NPO) basin
Identification of the source of DEFG can be further focused by defining the distribution of the targeted anguilliform species in the marine families of hagfish (Myxinidae), conger eels (Congridae), and moray eels (Muraenidae). Two species of hagfish are fished on the western continental shelf and slope of North America. The Pacific hagfish (Eptatretus stoutii) is found at 16-966 m depths from southeastern Alaska to central Baja California, Mexico and overlap little with the Black Hagfish (Eptatretus deanii) found generally in deeper colder waters at 103 - 2743 m [91,92]. No other anguilliform shaped species is targeted along the eastern margin of the Pacific Ocean with gear employing ETE.
On the western Pacific margin, Eptatretus burgeri is fished in temperate waters within a depth range 10-270 m [92] in the Sea of Japan, Yellow Sea and East China Sea, and off the east coast of Japan. The Whitespotted conger eel (Conger myriaster) occupies the same general range in the western Pacific as E. burgeri, at depths 320-830 m [93] but forms a much larger fishery. At the southern extent of the East China Sea, in the southern coastal waters around Taiwan, the only fishery currently using ETE is for the Indo-Pacific coral reef associated spotted moray eel, Gymnothorax isingteena.
Size of eel and hagfish fisheries vary markedly throughout the North Pacific Ocean (NPO) Basin
One of the best indications of the source of DEFG is the size
of each fishery as determined by the number of boats engaged,
the amount of gear deployed, amount of ALDFG generated each
year, gear missing or replaced, the reported size of the catch each
year, and the export volumes. While each of these measurements
may be imprecise or unknowable for all of the national fisheries
involved in the region, together they can be used to formulate
an estimate of the comparative size of the contribution of each
nation’s eel and hagfish fishery to DEFG floating around the Pacific
Ocean.
Taiwan: There was a commercial fishery for the hagfish
Myxine formosana during 1994-2002, but it no longer exists
[94]. Currently, the Taiwan eel-trap fishery is minor, limited to
summer seasonal and incidental fishing for moray eels using
sturdy cylindrical shaped tubes with ETE at both ends (Figure
3D), with only three vessels registered. To estimate the number
of eel traps used annually in Taiwan, two sets of coastal surveys
were conducted, visiting 14 fishing ports along the north coastline
of Taiwan island and 64 ports in the offshore Penghu Island
archipelago. From counts of eel traps on boats, docks or storage
areas, and in speaking with fishermen, Coast Guard officials and
Southern Four Islands National Park marine police, we estimate
between 3,000 to 5,000 traps are used in the Penghu Archipelago
and another 500 to 1,000 around the coast of Taiwan. In discussion
with fishermen, we estimate that 5% to 10% of the ETE are lost
each year, which accounts for only 175-600 ETE per year. The
estimated catch of moray eels is 1 mt per year. The Fisheries
Agency of Taiwan production yearbook for 20241 records an
average export of 222.1 mt of conger eels for the period 2015-
2024 from the trawl fisheries, with a decrease of 32% between
2015 and 2024.
United States of America and Canada west coasts: Although
there were small early trials, (1988–1992 and 1999-2001) there
is no longer a hagfish fishery in British Columbia, Canada [95,96].
There is no commercial fishery for eels in the State of Hawaiʻi,
only recreational hook-line fishing of moray eels as used for
bait (personal communication, Bryan Ishida, Hawaiʻi Division of
Aquatic Resources).
The hagfish fisheries on the eastern margin of the Pacific Ocean currently comprises fisheries managed separately by the state governments of Alaska, Washington, Oregon, and California. Initially, Korean style eel trap tubes (Figure 3A) were used with one ETE/tube, but they were soon phased out for more efficient 5-gallon buckets with 1-2 ETE/bucket, or barrels of 13-15, 30, or 55 gallon capacity with 4-6 ETE/barrel. For the years 2016- 2024, those four states fielded a fleet shrinking from 68 to 20 hagfish fishing boats (median=38). The number of gear units allowed per boat varies by state regulations [97]. The amount of gear loss is minimal because there is little gear conflict with trawl fisheries, as trap groundlines or individual traps must have surface buoys marking the trap’s location. ETE “funnels” (Figure 2A) break, allowing hagfish to escape, so they are replaced. If straps holding the ETE in place break, the ETE falls into the barrel and is not lost into the ocean. ETE are not removed from the trap (bucket or barrel) to access the hagfish, and then replaced, so there is no damage to the ETE with each harvest. Fishermen in each state provided an estimate of the annual number of ETE they replaced which, when multiplied by the median number of boats fishing, approximates 5,000 ETE/USA fleet/year replaced. We also calculated ETE replacement at 1-10% per year. Because the broken ETE are small and infrequent, and being cognizant of state, federal and international MARPOL Annex V regulations, U.S. fishermen assured us that all broken ETE were properly discarded onshore.
As there is very little domestic market in the U.S., most hagfish landed in U.S. waters are exported to Korea for food, either shipped live or frozen. The weight of hagfish and eels landed or exported from a country provides an estimate of fishing effort to compare with other countries using the same type of gear, i.e., eel traps. Because an individual fisherman’s annual catch data is protected by federal governments’ confidentiality rules, if there are less than three fishermen reporting catch data, their data are averaged and an estimated total provided for the 10-year period (e.g., WA and AK, Table 7). It is difficult, therefore, to ascertain the average annual catch from the entire western USA. The best estimate is 1,492 mt of hagfish landed per year over the 10-year period 2015- 2024. California and Oregon’s values combined, which comprise 82.8% of the total catch during that period, declined by 42.5%, a trend that was also evident in Washington state hagfish landings.
Japan: There are only small Japanese fisheries using eel traps for catching hagfish and conger eels (C. myriaster and C. japonicus) along the Pacific coast of Japan, in the Sea of Japan, Seto Inland Sea, and East China Sea. Most catch is by trawlers and as such there are few records of the number of boats using eel traps, species composition and weight of the annual catch. Japan National Fisheries data2 was parsed to those prefectures (Miyagi, Chiba, Tokyo, Kanagawa, Nagasaki) reporting trap-caught conger eels in the Pacific side and East China Sea side of Japan. Total conger eel catches by all methods for 2015-2023 declined 49% from 3,038 mt to 1,579 mt, for a nine-year average of 2,331 mt. The annual conger eel trap-catch declined 45% from 1,307 mt to 717 mt, for a nine-year average of 1,036 mt. Hagfish are a bycatch of the conger eel fishery, and no data is collected on the amount landed or exported to South Korea.

The ETT used by Japanese fishermen (Figure 3B & 3C) have ETE attached at both ends by a twist-latch mechanism. Only one ETE is removed to pour the catch out, while the other ETE may be permanently attached with a metal screw. ETT are weighted with either metal rods attached by twine or thin metal wire, or stones attached by biodegradable rope. Eel traps that are lost or abandoned on the ocean bottom will remain intact on the bottom, ghost fishing, until the weights are released. ETE are firmly attached and will not become disengaged from the ETT. In Miyagi prefecture, approximately 20 boats fish for conger eel in a limited season (June-September) with each boat setting 300 - 900 traps depending on the size of the boat (5, 10, 19 tonnes) and number of crew (1-3). In the past, the largest boats would set up to 1,700 traps at a time. As ETT are durable, none are discarded and ETE replacement for the Omotehama Branch of Miyagi Prefecture Fisheries Co-operative Associations approximates 200 ETE /yr. However, there was a major loss of more than 40,000 eel traps due to the 2011 Tōhoku tsunami. The size of the eel fishing fleets in southern Japan are not known but those boats observed in Fukuoka prefecture are smaller, 5 ton to 10 ton coastal fishing boats. We estimate that few damaged ETE are discarded into the ocean by Japanese fishermen, but eel traps may be lost due to multinational fisheries interactions especially in the southern portion of the Sea of Japan and in the East China Sea.
South Korea: Korean fishermen use eel traps (Figure 7) strung out on a groundline for hagfish and conger eels. Each trap has a single ETE which is held on the trap tube by two latches and is removed each haul to open the trap.
Data of the Korean trap fisheries was obtained from Korea Informational Statistical service for the period 2017-2023 a period during which discarded ETE could arrive in the HA. The number of federally registered commercial eel-trap boats in the offshore fleet (avg. gross weight 68.8 mt) declined from 63 to 42 boats per year (avg. 53.4) laying out up to the legal limit of 10,000 traps per set. Seo et al. [98] reported for the period 1990 to 2015 the number of traps used per boat increased from 12,000 to 16,000, while Jeong [59] reported through interviews of 11 offshore fishermen an average of only 10,000 traps used per boat, with an annual average replacement purchase of 37,000 ETE (~2 million/fleet/year). Dr. Subong Park (OSEAN Seminar, 3/25/2022, Gyeongsangnam-do, South Korea) reported offshore eel trap boats replace 60,000 ETE per year (~3.2 million/fleet/year). An ETE manufacturer reported 2024 sales to a single offshore boat of 57,500 ETE (3.1 million/fleet/year). Another company reported annually selling 1.2 million ETE to 10 boats (6.4 million/fleet/ year). With the number of offshore boats fishing varying each year and the uncertainty of the number of ETE each offshore boat replaced annually, a conservative estimate of 4 million ETE discarded/fleet/year appears reasonable.
For small coastal fishing boats, (avg. gross weight 3.0 mt), the number of registered boats declined for the period 2017-2023 from a high of 4,884 boats to 4,628 boats (avg. 4,747). We found no reports of what percentage of those boats were using plastic tubular pots for catching eel. For 2012 it was estimated that there were only 500 coastal eel-trap boats [99]. Assuming each boat was using the legal limit of 3,200 tubular pots for catching eels and 15.6% ETE replacement annually, 249,600 were discarded. From interviews of nine coastal fishermen Jeong reported [59] an average of 1,879 traps were used per boat, but 5,000 replacement traps were purchased annually for an average of ~2.5 million ETE /fleet/year. We have little confidence in these wide-ranging estimates for the coastal fleet, but a significant number of ETE must be discarded annually.

With this imperfect and dated estimates of ETE replacement, we project the combined South Korean coastal and offshore boat fleets account for over four million ETE discarded into the ocean annually. For the period 2015 to 2024 the average hagfish landing was 32.6 mt. The average conger eel landing for the same period was 9,690.6 mt, 300 times that of the hagfish. The total landing decreased approximately 9% over that period.
China: Catch of conger eel (C. japonicus) and pike eel (Muraenesox cinereus) is by trawl and eel traps, mainly in the East China Sea, with annual catches of 100,00 mt in 1993, 300,000 mt in 2004, and 340,000 mt in 2009 [100]. China Fisheries Statistical Yearbook3 for 2025 reports total catch of combined marine eel species, caught by trawl and trap, at an average for 2014-2023 of 339,734 mt and with a slight decline of 15.6% over that period. We do not know what percentage of total landings are by eel traps, trawl nets, or other means. We have no data on the number of boats involved, the number of eel traps set per boat, or the annual loss of ETE or ETT.
A comparison of catch weights of conger eel and hagfish fisheries in the NPO (Figure 8) illustrates that the South Korean and Chinese reported landings are similar to each other, as are the western USA’s to Japanese landings. Landings for Taiwan are estimated to be less than 1 mt. South Korea’s average landing tonnage is 6.5 times that of the western USA and 9.5 times as much as Japan’s. Western USA landings are 1.4 times those of Japan. Recognizing that all four Asian countries use tubular traps with ETE (Figure 3), we propose that the number of ETE from each country coming ashore in the HA would be roughly proportional to the tonnage of each country’s landings. As South Korea and China use the same type of gear (Figures 3A & 7) we expect more ETE coming from Korea and China, and less from Japan that uses a different type of gear (Figure 3B & 3C) and none from Taiwan (Figure 3D). Although fishermen from the western USA use buckets and barrels as traps, not tubes, the ETE they use are from Korea and cannot be differentiated from those from South Korea or China. Without more information on Chinese eel fishing practices and the numbers of ETE replaced each year, we cannot determine the proportion of ETE coming from South Korea or from China, although together they constitute the majority of the ETE types collected in the HA.
Different types of DEFG were distinguished through forensic analysis of shape, size, design and chemical composition
Eel trap entrance hole patterns and rim structure: Subsets of ETE pieces collected from the HA (Table 8) were hand sorted to initially define which features were common and which were rare. Of those sorted, 72.2% of the ETE were basically intact, demonstrating the durability of the material and design. Only 25% of ETE had the basket and funnel parts attached to one another, suggesting those that are molded as two separate parts tend to come apart either before or after being discarded into the ocean. Some are molded in two pieces for ease in the injection molding process, and perhaps the ability to replace the flimsier funnel part when it is broken and not have the expense of replacing the whole ETE. Manufacturers in South Korea have the ability to produce either one-piece or two-piece ETE, thus the maker cannot be identified by that characteristic.

ETE were sorted into three outside rim diameter size classes (Table 8) with 12.75 cm (5 inches) by far the predominant type. Rim size is matched to the end opening on the ETT, with three sizes of tubes being offered by at least one Japanese manufacturer. Rim size alone does not aid in identifying the type of eel trap or source.
In order to try to determine the manufacturers of the ETE, and hence the users, a total of 993 complete ETE basket images, from 5,561 standard images, (200 each from Maui, Molokaʻi, Lānaʻi, Kauaʻi and 193 from Hawaiʻi), were selected and sorted on the basis of 7 characteristics of their baskets (Figure 2, Table 3). Of 49,152 possible characteristic combinations, only 137 combinations were recorded, indicating a preference for specific design characteristics. Each of these was assigned a “model” number (Figure 9).
The ten most abundant models account for 50.4% of the samples and the 20 most abundant types for 67.6%. The remaining types were rare, each accounting for 1% or less of the collection. Dominance in percentage observed may be a function of those types currently being the most commonly used ETE, the most frequently discarded, the most easily broken ETE, or the type which has remained unchanged and used for the longest period of time. A popular type may be produced by many manufacturers, even from multiple countries once the patent has expired. Therefore, general type alone is of little value in determining source of derelict ETE. The model most commonly used by fishermen of the western USA is produced by at least one large South Korean company (Bukyung Industry) that also supplies South Korean fishermen.
ETE were then categorized based on how the ETE was attached to the ETT. With the first type, the outside rim of the ETE was plain (Figure 10A), indicating that they were inserted into the ETT with the rim sitting on the top edge of the ETT, and held in place by either tying the two together, or by some type of fastener mechanism on the ETT that would clamp down on the ETE, securing it in place. The “Plain-type” accounted for approximately 97.9% of the ETE models.


The “Hook-type” ETE had holes in the top of the rim and a distinct hook-like feature (Figure 10B) to lock onto a peg on the ETT (Figure 3B & 3C). Of a sample of 4,129 ETE, only 1.1% had hooks of some design. Of those Hook-types with holes (Table 8), 83% had ridges on the outer edge of the rim, intended to provide a stronger grip when twisting the ETE. The five most abundant hook designs made up 90.2 % of the hook-type, with one (Figure 10B) embossed with “KAK” representing the company Kabushikigaisha Abe Kogyo in Japan. This company has produced the same hooktype ETE since 1972, while other companies copied the general hook mechanism that appears on website photos.
Of a sub-sample of 3,876 ETE (Table 8), 1.0% had tabs (Tabtype) that twist over matching features on the ETT, locking the two together (Figure 10C). All “Tab-type” ETE were broken or worn. The five most abundant tab-types make up 82.1% of the Tab-type suggesting few manufacturers making most of that type. Two of the 10 Tab-type ETE collected match ETT marked as DGK Corp., Ltd. and another as Yokosuka City, both in Japan. Because Tab-type ETE were so rarely found and all were broken or worn, the Tab-type probably had a limited production span for Japanese fishermen. None were found in stores or on the docks visited in Japan.
Eel trap tube length, width, end structure, hole number and pattern: A total of 433 pieces of cylindrical shaped ETT were collected from the HA, with 85% collected in the final year of the study (Table 4). Of those, a collection of 362 were examined and classified into two basic types based on the number of open ends in which to place ETE (Figure 11). Type-1 ETT, with two openings, comprising 17.2% of the collection, were further classified by the ETE attachment mechanism, length, opening diameter and the number of holes in the tube. Type-2 ETT, with one opening for an ETE, comprising 82.8% of the collection, were further classified by the length, opening diameter, the number of drainage holes in the tube, the presence of clip fasteners for attaching the ETE to the tube, and the mechanism at the cone-shaped tip for attaching the ETE to the groundline.

Type-1 ETT (Figure 11A-11C) are cylindrical tubes with ETE attached at both ends. Longitudinal indentations for pieces of metal to be attached (Figure 11B) help the trap sink and stay on the ocean floor. The ETT surveyed had just a few 7-8mm diameter holes for water drainage, to attach metal rods, or to attach a line to the groundline. Rectangular indentations (Figure 11C) often have Kanji markings branded into them. Type-1 came in two standard lengths (70, 75cm) with outside diameters of 16.5, 13.0 or 10.7 cm. The ETT had 11 cm or 7.0 cm inside opening diameters, with three small protuberances on the outside of the narrow collar on both ends onto which a hook-type ETE twists onto. Approximately one-third of Type-1 ETT collected in the HA were embossed with letters “KAK”, representing the company Kabushikigaisha Abe Kogyo of Yoshikawa City, Saitama, Japan. One Type-1 ETT was embossed with “D.A.M.” representing the company Deutsche Angelgeräte Manufaktur which has a history of manufacturing fishing gear. Type-1 were the most commonly seen ETT on boats and docks in Japan and in online images of Japanese fishing boats, therefore they were named “Japan type” and assumed to have come from fisheries in waters around Japan. Three ETT collected were of Type-1, but with a broadly triangular cross section (Figure 11B) made by KAK. Two other ETT had tabs in the opening to which Tab-type ETE were attached. These matched ETT marked as DGK Corp., Ltd. and as Yokosuka City, both in Japan. After extensive loss of gear caused by the 2011 Tōhoku tsunami, Japanese fishermen in Miyagi prefecture initially purchased replacement Type-1 ETT from Chinese manufacturers.
South Korean manufacturers have started producing tubular ETT with ETE at both ends (Figure 12), 60cm long, 12 cm diameter, with 48 holes, but differing from Japan Type-1 ETT by attaching the ETE with clips, and the absence of slots for attaching metal rods. These are designed for the small-boat coastal fisheries. Two tubes have been found with the clips, also containing two knobs that are properly sized and spaced to fit into ETE with hooks, and with 12 holes in the upper rim, suggesting they were specifically designed to also work with hook attachments. Some ETT incorporate metal rings into the plastic tube, instead of external rods, so they do not float.

Cylindrical ETT handmade of polyvinyl chloride pipes were observed in Taiwan and in Tokyo Bay, Japan. With a specific gravity higher than seawater, they do not float and would not be carried by currents from site of use. These ETT were fitted with metal ETE, curved sheets of polypropylene, or standard Plain-type ETE that were tied on to the ETT.
The larger Type-1 ETT used in Taiwan for moray eels (Figure 11A) are 107 cm in length and 15.5 cm diameter opening, with longitudinal indentations and a variable number of holes added by the fishermen, mainly for attachment of a rope to a buoy or groundline. The ETE fits over the narrow end of the tube and is attached by tie wraps, wire or line through holes in the ETT. From observations all around Taiwan of eel fishing boats and gear stored on docks, this Type-1 ETT is used almost exclusively. Although they float, none of these ETT have been found on North Pacific shorelines as part of this study.
Type-2 ETT (Figure 11D-11H) have ETE attached at only one end, by clips, and are funnel-shaped at the other end. The tip is shaped to attach a rope (Figure 11D, 11F, 11H) or a mechanism (Figure 11G) to secure the ETT to a groundline. Worn shorelinecollected Type-2 ETT ranged in length from 51.5 cm – 55.5cm (average 53.4 cm) and 10-12 cm diameter. Approximately 144- 322 holes (mean = 238), 6-8 mm in diameter, perforate the ETT along its length. A ridge to strengthen the cylindrical shape is variously placed near the open end. Knobs may adorn the end of the cylinder, along with the two movable clip fasteners to secure the ETE to the end of the tube. ETE for Type-2 ETT have outside diameters ranging 11-13 cm, slipping over the open end.
The mechanisms for automatic disentanglement of the trap from the groundline (Figure 11G) were first used in 2000 [95] and by 2014 all large commercial eel trap fishing boats in South Korea were using the automatic separating system. It is not known to be used in other countries. Models from different South Korean manufacturers can be distinguished by design and color of the mechanism. Type-2 ETT, with or without the release mechanisms, were observed as the most commonly used gear at fishing ports throughout South Korea, especially on large boats that lay 7,000- 10,000 traps on a single groundline set, suggesting South Korea as a major source of Type-2 ETT derelict gear. As the Type 2 style is also used by China’s fisheries in the East China Sea, we do not know the relative contribution of derelict Type-2 ETT on shores of the HA by Chinese or South Korean fisheries. However, the predominance of this ETT type corresponds to the likely predominance of ETE debris from these two nations.
Chemical composition of ETE and ETT: Polymer analysis of twenty pieces of derelict ETE found on Oʻahu for Type-2 ETT done by Corniuk et al. [54] showed they were composed of five different polymers (abbreviations as in [54], all of which were blends (LLDPE/PP, HDPE/PP, LDPE/HDPE/PP, LDPE/ LLDPE/PP, EVA/LLDPE). LLDPE/PP and HDPE/PP were the most common polymer mixtures, but two baskets were made of EVA/ LLDPE. Of ETE with attached basket and funnel, two were of the same polymer and three had mismatched polymers. Polyethylene (PE) has a general range in density of 0.915-0.965 g/cm3, polypropylene (PP)of 0.905 g/cm3, therefore all blends would have a density of less than that of seawater, meaning that they would float.
Additional ETE were analyzed in the current study. A derelict ETE had mismatched HDPE/PP funnel and LLDPE/PP basket. Analysis showed that a new ETE basket from Korea was composed of LLDPE/PP and of four new ETE baskets from Englund Marine Supply, three were composed of HDPE/PP and one of LLDPE/PP. A derelict ETE mislabeled as “biodegradable” in Hangeul script was composed of LDPE/LLDPE/PP.
KAK reported that Type-1 ETT and their corresponding ETE were composed of recycled PE from Ishizuka Chemical Sangyo Co., Ltd. Analysis of a KAK factory new ETT and aged derelict Type 1 ETT (e.g., Figure 11C) and an aged hook-type ETE (e.g., Figure 10B) by the Yonsei University laboratory confirmed PE as the main ingredient with surface chemical analysis indicating possible polyurea or polyurethane additives. Aged ETE and ETT pieces had both significant oxidation and surface adsorption of inorganic elements (Mg, Si, K, Fe, Al), while several inorganic elements (e.g., Mg, Al, Ti, V, Cr, Fe, Co, Ni, Cu, Zn, Ag, Cd, Ce, Pr, Pb) were found only on the aged sample, not on the new sample. Overall, seawater-driven aging changes plastic surface chemistry promoting inorganic element adsorption and potentially elevating cytotoxicity risk [67].
Meanwhile, analysis of a new and an aged plain type ETE (Figure 10A) by Jang et al. [41] found the ETE contained hazardous chemicals including antioxidants, phthalate, bisphenol A, UV stabilizers, polybrominated diphenyl esters (PBDE) and non-PBDE (brominated flame retardants) from the use of recycled plastic stock. Consequently, aged eel traps with adsorbed inorganic elements and leaching hazardous chemicals must be considered dangerous to marine life. The breakdown of ETE into microparticles ingested by birds makes this toxicity particularly worrisome. Production of ETE with recycled materials should be discontinued and replaced by non-toxic biodegradable polymers.
KAK’s new ETE are made of polyoxymethylene, a more durable polymer. With a density of 1.410-1.420 g/cm3, these ETE sink in seawater (density 1.02 to 1.03 g/cm3), do not float in ocean currents and remain operable as ghost gear for extended periods. Therefore, the KAK Type-1 ETT and ETE found in the HA correspond to the older models likely made of mixtures of PE or PP.
The South Korean National Institute of Fisheries Science developed biodegradable polymers, polybutylene succinate/ poly butylene adipate-co-terephthalate (PBS/PBAT) in 2005 for fishing nets that were adapted for ETE in order to stop eel trap ghost fishing [99]. Kim et al. [101] report the use of polybutylene succinate (PBS/PBEAS) as a better polymer for nets and traps. Both biodegradable materials have a specific gravity greater than seawater; thus, they do not float and consequently are not carried by ocean currents. These biodegradable ETE eventually break down in situ, preventing ghost fishing. The South Korean government subsidized the manufacture and distribution of 260,000 biodegradable ETE, but in part because of their higher cost, there has been low acceptance by fishermen.
The percent composition of the mixtures of PE and PP cannot be used to identify the manufacturers of ETE or ETT, as their composition varies with the source of the recycled plastic used in manufacturing, and the baskets and funnels may be made separately, at different times, with completely differently sourced polymers.
Identification of source location by attached biofouling organisms
A selective sampling of biota attached to ETE from the MHI between 2021 and 2024 were identified to taxa and suspected geographic origin (Supplemental material 3). A total of 121 samples were analyzed. Aside from the pelagic biota (Jellyella bryozoans and Lepas barnacles), acquired in transit, most of the taxa appear to have recruited to the ETE after arrival in the Hawaiian Islands, including no fewer than 5 species of barnacles found to occur both in the Hawaiian Islands and in the Western Pacific. Biota of unknown provenance included sponges, serpulids, spirorbids, sabellariids, the coral Pocillopora, and the foraminifera Planorbulina and Homotrema, all of which could originate from Asia or from Hawaiʻi. Specimens of the tree oyster Isognomon sp. of 2-3.5 mm length suggests Hawaiian settlement, while one at 16 mm, the same size specimens of the strictly Asian mussel Mytilus coruscus (12, 17 mm) suggests Asian settlement. Specimens of the leaf oyster Dendostrea folium, were almost certainly of Asian origin based on their larger size (ranging from 29.0 to 88.5 mm), indicating that they grew in situ during oceanic transit. Both species were reported from 2011 Tōhoku tsunami debris [65]. The presence of Asian bivalves further supports the origin of the ETE being coastal waters of the subtropical Western Pacific. Haram et al. [73] demonstrated that coastal species may colonize, survive and reproduce on plastic debris in the NPO and that coastal invertebrate taxa from there were largely of Western Pacific origin. Coastal taxa occurred on 70.5% of debris items, including on ETE [73]. Eel traps, especially those used in Japan, are weighted with pieces of metal strapped on by thin wire (~ 0.7mm diameter) or line. If not retrieved, those traps will remain on the bottom until the strapping material disintegrates, allowing the plastic trap to float to the surface, with benthic organisms attached.
Local marketing and international e-commerce of eel and hagfish traps
Manufacturer markings on DEFG showed that ETE and ETT were made in all four Asian countries where there are conger eel and hagfish fisheries (China, South Korea, Japan, Taiwan). No manufacturers in the USA were found. We had direct contact with and visited five manufacturers in South Korea (Yooil Industry, Youngjin Industry, Tongyeong Tongbal, Gosung Tongbal, Bukyoung Industry) and one in Japan (KAK) to view the manufacturing process and discuss sales. Traps can be bought in large quantities directly from the manufacturer, or in small quantities through fisheries co-operatives or marine supply stores. Visits were made to marine supply stores in the western USA, South Korea, Japan, and Taiwan to see what they were selling and where they were getting eel traps from. In the western USA all ETE were obtained either through the wholesale buyers of the hagfish, or from Englund Marine Supply, which purchased them directly from Bukyoung Industry in South Korea. Fishermen in each country appear to have almost exclusively used plastic eel traps patterned after their country’s traditional models. Nevertheless, some fishermen now use a favored brand of ETT, with ETE from a different manufacturer, perhaps even from a different country. Korean manufactures are now producing ETT resembling Type- 1 ETT (Figure 12), traditionally made only in Japan, for use on Korean small non-mechanized boats. As eel trap components can be purchased via e-commerce on company or retail websites that deal in international trade (Supplemental material 4), identification of the manufacturer is of little value in determining the source of the DEFG, unless the manufacturer reveals to which specific areas of the North Pacific it supplies. Visits to local marine supply stores, however, are informative in providing information on both type of gear sold and amount for local fishermen.
Manufacturer marks are injection molded onto ETE
In collections from throughout the North Pacific there were 22 distinct types of markings on ETE (Table 9), with Korean Hangeul lettering identifying South Korean companies, or with product registration numbers.

Legible writing on the upper face of the basket rim was recorded in 9.76% of 8,312 ETE from the HA (Table 9). One company, Youngjin Industry, had three versions of lettering (#1, 11, 19) and comprised 6.64% of the collection (Figure 13). Yooil Industry (#2) comprised 1.47%. Number 7 with just registration numbers, comprised 0.84% and Daejoo Co. (#6, 8, 10, 14) comprised 0.53%. Biodegradable (#12) by Tongyeong Tongbal, comprised 0.17%. Company patent registration numbers (#6, #7, #17) and outdated telephone numbers (#17, #18) on the ETE indicate that some ETE are more than 20 years old. Of those with their names embossed on the rim, Youngjin Industry and Yooil Industry are today among the largest South Korean ETE producers, while many of the other companies are no longer in business. One ETE (#9) had “Made in Korea” in English. One ETE (#12) with “Biodegradable” embossed was made by Tongyeong Tongbal with regular low density non-biodegradable materials.

Mold makers included a pattern with 12 Braille-like dots (#13) on the inside rim of ETE and single digit inverted numbers (1,2, or 8), or a series of closely spaced 1-4 dots in the top of the rim. In a separate collection of 677 ETE from Jeju Is., Korea, 218 (32.2%) were marked with “Youngjin Industry“ on the top of the rim, 207 were marked with inverted numbers (1,2,3, or 4), and 184 had both numerals and “Youngjin Industry”. Eightyone had no discernable markings. This paired the mold marks to the manufacturer and showed that mold marks and lettering can change, or be eliminated when a new mold is made, making it difficult to identify the manufacturer. Injection molds for ETE become worn and must be replaced every 2-3 years with changes made at fishermen’s suggestions or the mold maker’s whim. Without records of when each type of ETE was produced, it is not possible to define precisely how old an ETE is.
The letters “KAK” (Figure 10B) found on two ETE, and a single ETE with tabs that matched ETT with Japanese characters for “Toho Plastics”, were the only indication of ETE being made in Japan. Chinese characters found on ETE (#22- #26, Table 9) identified Qingdao Dedong Plastic Processing Factory, Shanjiao Community, Hetao town, Hongdao Economic Development Zone, Qingdao City, Shandong Province, China and its telephone number.
Another distinctive characteristic of ETE rims were 33-66 dots around the top of the rim, a feature which comprised 6.1% of a sub-sample of 4,129 ETE from the HA (Table 8). These Plaintype ETE would be tied on to the ETT or held on by a fastener. The diameter of the ETE and the number of dots varied, with 37- 38 dots being the most common number. The separate sample from Jeju Is. had 21 ETE (3.1%) with 37, 38, or 59 dots. ETE with 37 dots were found being sold in a marine supply store in South Korea. We don’t know if numbers of dots varied because of different manufacturers using the same design, or a manufacturer making many models and changing features over time. It is unclear if these patterns are specific to the mold maker or requested by the injection molding company.
More than 90% of the ETE collected were unmarked and the remaining marked ETE simply indicated the Asian country, manufacturer and perhaps factory location of where the ETE were made. The relative abundance of each marking could be associated with the relative market share of the identified producers, durability of their products, or differences in fishermen’s method of disposing of damaged ETE.

Manufacturer marks are injection molded onto ETT: While derelict ETE collected in the HA were more than 50 times more abundant than ETT, a greater percentage of ETT were embossed with company names or branded with other identifying marks. Of the 44 Types-1 ETT examined, 34.1% had “KAK” embossed in large letters midway on the tube.
The remainder of the markings recorded were on Type-2 ETT (Table 10). Ten Type-2 ETT with Korean Hangeul markings were collected in the HA, southern Japan (Fukuoka, Nagasaki) and southern Korea (Jeju Is., Yeosu City). The ETT markings represented Korean companies already identified on ETE (Daejoo, Yooil, Youngjin) and two other companies (Dong Young, Samhwa). All began operations in the late 20th century but of those only Yooil and Youngjin are still producing ETT. Two ETT had “Made in Korea” along with a registration number and one had the name of Youngjin Industry in Hangeul.
A survey of docks and fishing boats in Taiwan showed exclusive use of distinctive large Type-1 ETT with the manufacturer’s name molded into the tube (Figure 11A, Table 10); they were thus identified, as made by “Sea Pearl” in Tainan City, Taiwan and by “Haikou Minchuang Plastic Products Co., Ltd.”, originally called “Zhendong Plastic Factory”, made in Haikou, Hainan Province, China. Due to their durability and high cost, these ETT are likely retrieved diligently by fishermen and rarely discarded intentionally. Consequently, these ETT would not likely become ALDFG and none were found derelict on shorelines of any of the participating countries.
User-specific embossed, branded, or scratched in identification markings
Some fishermen in various countries added identifying marks to their ETT. West coast USA fishermen scratched their boat’s name into hagfish barrel traps to facilitate their return when lost. One Tab Type-1 ETT had written in Kanji, “Yokosuka City Eastern Fisheries Association” on the tube rim (Table 10) giving a more precise location (Kanagawa Prefecture) for the Japanese users of that unique gear. Similarly, Japanese conger eel fishermen in Miyagi Prefecture heat branded some combination of the name of the prefecture, town, guild, company, boat or fisherman’s name into the two rectangular depressions molded into the Type-1 tube (Figures 11C & 14). If lost at sea and later recovered, the owner of the ETT could be identified by the markings. Fifty distinctive brandings were recorded, with 16% identified as being from Miyagi Prefecture.

Fishermen of Omotehama Branch of Miyagi Prefecture Fisheries Cooperative Association confirmed that some of the brandings recorded were from that area. Brandings on an ETT found on Kauaʻi Is. and one on Laysan Is. matched those stockpiled in Ishinomaki. Fishermen said the 2011 Tōhoku tsunami had destroyed the conger eel fishing fleet and land-based gear storage areas, washing gear both inland and out to sea. Whereas before the tsunami there were 60 eel fishing boats in the prefecture, now there are only 20. About 70% of the eel traps (~40,000) were never recovered by the fishermen. While there is no longer a need to mark gear, due to the reduced fleet size, some old, marked gear is still in use and some may still be on the ocean floor, ghost fishing.
These branded ETT appeared in the HA only late in this study (September 2023) and were accompanied by types of debris that had been previously (2012-2018) associated with debris from the 2011 Tōhoku tsunami. These included large hard-plastic boxes used to move small fish from fishing boats to dock-side distributors. Kanji characters painted on the boxes indicated that they were from Aomori, Fukushima, Iwate and mainly Miyagi prefectures. Plastic stakes (PIPRO Corp., Japan) with site identification tags, used in Japan to mark land property boundaries, were also from Iwate and Miyagi prefectures. The coincidence of these items of tsunami debris now appearing, after likely recirculating in the North Pacific Subtropical Gyre, supports the conclusion that most of the Type-1 ETT recently collected originated from Japan, and were discharged into the ocean by the tsunami and not by fishermen discarding gear overboard. Other catastrophic events, e.g., earthquakes and extreme weather events, on land or at sea, may also be responsible for fishing gear becoming lost to the ocean.
China is a source of derelict Type-2 ETT, based upon Chinese markings on two ETT found in South Korea and two found in Kauaʻi (Figure 11H, Table 10), and in online advertisements (Supplemental material 4). The Chinese markings (Figure 15), identify Shanjiao Community, Qingdao City, Shandong Province, China, along with a telephone number, the good luck symbol 發, and official boat registration numbers. An additional ETT had markings of Mengjia Village which was consolidated into a subdistrict in 2001, meaning that the ETT is over 24 years old. These traps were most likely deployed in the Yellow Sea.


The user-specific markings on ETE and ETT provide the most precise information on the source of derelict fishing gear found in the HA. We advocate for the individual marking of ETT, buckets and barrels used by eel fishermen as it will facilitate the return of lost items to their owners. ETE are relatively cheap and easily damaged, so there is little incentive to return them to owners.
Site visits
One of the most important aspects of this project was the multinational effort to visit the manufacturers and retail sellers of eel traps; this provided useful information only when individuals would specify the users of the gear. In most cases vendors only sell within their country. Derelict gear needs to be directly compared to what is on the eel trap boats or on their docks. Therefore authors visited ports, docks, stores, and boats in each of their respective countries: the states of Alaska, Washington, Oregon, and California on the west coast of the USA; Nagasaki, Fukuoka, Kanagawa, Fukushima, and Miyagi prefectures in Japan; Busan Metropolitan City, North and South Gyeongsang provinces in the Republic of Korea; and fishing ports in the north of Taiwan and in the Penghu Archipelago. It is relevant to note that gear we saw on site visits was not necessarily the exact same model of ETE used more than 20 years ago when they were abandoned, lost or discarded. General shapes of ETT and the method of attachment of ETE to the tubes were distinct, at least by country.
Fishermen overwhelmingly prefer gear that they are accustomed to using, or conformity, leading to a uniformity of gear type in each country and the purchase of gear from local manufacturers or retail outlets. Political conflicts among Asian nations and with the USA affects international trade in both fishing gear and the import/export of marine products. This is especially relevant among fishermen targeting limited resources in cases of disputed maritime boundaries. Uniformity of certain gear design allows ALDFG, or stolen fishing gear, to be used interchangeably by fishermen from different nations, e.g., China and South Korea. We have yet to obtain information on the types or quantity of eel traps currently being used in China.
Discussions with fishermen provided valuable insights into their perception of how other fishermens’ gear ended up derelict in the ocean and how mitigation efforts, e.g., biodegradable gear, might be effective at reducing ghost fishing, if widely adopted. Although they have experienced little gear loss, hagfish fishermen from Alaska, Oregon and California learned of the ghost fishing problem in Asia and tested Korean-made biodegradable ETE, that we provided, on their traps to determine durability under western USA fishing conditions.
Discussion
The purpose of this study was to identify both the specific sources of derelict eel/hagfish traps found in the HA, and the interventions most suitable to avoid, minimize and remediate the DEFG depending on fishery-specific contexts. Gilman et al. [11] present 36 probable causes of the formation of ALDFG (a large number because the causes vary greatly by fishery, region and gear type). Their cause most suited to the small-scale eel/ hagfish fisheries in the NPO is limited awareness or low concern over adverse consequences of ALDFG. For large offshore fisheries their most suited causes are 1) worn/damaged gear components perceived to be most convenient to discard or abandon at sea and 2) insufficient storage room onboard for all gear, e.g., when storage space is subsequently used to hold the catch. They present another table for the methods to address each cause within a sequential mitigation hierarchy [11].
The eel/hagfish fisheries of the NPO provide a unique set of case studies of a single gear type (traps with ETE) being used on a small variety of anguilliform species, from small-scale regional fisheries, over a limited geographical range. This gear type has had little awareness or study to date, yet the derelict ETE are found abundantly across the North Pacific.
The eel/hagfish fishing fleets from the four nations studied engage vessels of two general size classes: 1) small coastal boats operating in Japan, Taiwan, the western USA and Korea; and 2) South Korea’s large offshore vessels. While we lack direct access to Chinese fleet data, the presence of Chinese markings and the scale of their fishing operations in the East China Sea suggest they share similar operational characteristics with the Korean largevessel fleet.
Because of the cost of the vessels, their operating costs and the cost of the traps, the smaller boats operate on a slim profit margin and the fishermen owners of the boats are likely to be careful in the handling of gear to prevent loss or damage and to repair gear. In some cases, fishermen put individual identification marks directly on the traps, so that they can be returned if lost. Because of the small size of the ETE, the low number broken each fishing trip, and the short duration of each trip, there is not a great accumulation of broken ETE during a trip and fishermen report that they bring the broken ETE ashore. As the traps are made of recycled plastic it is difficult to recycle further due to biofouling, chemical additives and polymer fragmentation in the blending process, thus they have no value and are discarded on land as trash. We suggest that this accounts for the very small number of both ETE and ETT collected ashore in the HA that we can attribute to small-boat fishermen from Taiwan, Japan, and the western USA. The large number (~4,600) of Korean small-boat fishermen may contribute more DEFG than the other three nations combined. There is additional loss of ETE and ETT due not to fishermen negligence, but to catastrophic atmospheric or oceanic events from all countries in this fishing industry. To reduce such gear loss, when not in use, it should be stored safely in areas not inundated by flooding or tsunami events.
Our initial discussions with a few fishermen from several nations showed a widespread lack of awareness that ETE disperse to far shores of the North Pacific, and that they can cause harm to wildlife. We propose the most effective mitigation method for the small-boat eel/hagfish fisheries is region-specific education programs about the long-distance impact of DEFG, e.g., an education program on South Korean television that we collaborated on4. These would be conducted via social media and especially including community beach cleanups targeting DEFG to protect marine life. Apps for e-reporting DEFG have been shown to engage community participation. DEFG should be added to the Apps as a specific category of gear to be reported. Fishermen could be reached most effectively through Fishery Co-operative Associations that manage nearshore fisheries [102]. The large, mechanized vessels of South Korea are a major source of derelict ETE, because the ship owners believe it is more cost effective to replace ETE frequently. This is due to the time it takes to inspect and ensure that re-used ETE will not break and allow animals to escape. Disposing of ETE at sea frees up space for the catch and eliminates the cost of disposing of the worn gear on land.
The Korean government has taken steps to mitigate the effects
from the large-vessel eel/hagfish fisheries:
a) In 2015 the Korean Ministry of Maritime Affairs and
Fisheries started a mandatory reduction in fishing vessels as a
resource management tool, including 19 of the 70 offshore eel
trap-fishing vessels (27%) and an unspecified number of coastal
trap-fishing vessels. This may affect the number of ETE discarded
annually by Korean fishermen5.
b) The Korean government’s development of biodegradable
ETE and initially subsidizing their cost to fishermen, is an
advanced method to mitigate effects of DEFG, especially ghost
fishing, for all sized boats. The increased cost of the ETE and
fishermen’s reluctance to accept modifications in gear has led to
lack of acceptance. World-wide efforts should be made to support
the development of new non-toxic materials with biodegradation
rates designed for specific habitats and corresponding fisheries,
and to work for their acceptance in fisheries worldwide.
Conclusion
Plastic cone-shaped trap entrances used for catching eels and hagfish are ubiquitous on shores throughout the North Pacific, carried away and deposited by currents of the greater North Pacific Subtropical Gyre. Islands of the Hawaiian Archipelago are especially heavily impacted by ALDFG from multinational east Asian fisheries, as determined through hierarchically ordered forensic analysis of DEFG from shores throughout the Pacific. This paper contributes to the understanding of the extent of the DEFG problem in the NPO and identifies the nations whose fisheries are responsible.
Manufacturers’ marking on gear no longer reliably identifies the country where it was used, as the internet now enables international sale and distribution across nations. However, fishermen from each country in the region have developed preferences for distinctively different gear, and the size of their annual catch suggests the relative abundance of each nation’s contribution of DEFG. The eel and hagfish fisheries of the western USA, Taiwan and Japan are orders of magnitude smaller than those of South Korea’s and China’s fisheries, both operating in the East China Sea. The Korean fleet of highly mechanized, large eel fishing vessels are reported to discard millions of used ETE into the ocean annually. While the exact quantitative contribution of ETE from Chinese fisheries is difficult to distinguish from Korean gear, the sheer scale of their fishery in the East China Sea suggests they are likely a major contributor alongside South Korea.
Distinctive markings found on Chinese and Japanese ETT precisely identify the user of the gear, but do not explain how the ETT ended up floating in the ocean. We cannot necessarily attribute all DEFG to fishermens’ actions, as natural cataclysmic storms, earthquakes, or tsunami events can sweep away gear from both land and sea. However, efforts must be made to stop the intentional discharge of ETE into the ocean and promote the removal of gear already in the marine environment. This requires multinational education programs that communicate the effects of ALDFG, especially in communities supporting the eel or hagfish fisheries. Effective removal requires a pan-Pacific effort of community-based beach cleanups to target the removal of DEFG from shorelines and mid-ocean (e.g., initiatives like Hawaiʻi Pacific University’s Center for Marine Debris Research’s ALDFG bounty project or The Ocean Cleanup) as quickly as possible, before it is ingested or entangles marine fauna.
The examination of a combined 21,891 ETE and ETT provided the discovery of rare gear with markings that identified their sources and documented cases of their persistence in the ocean for over 20 years, further highlighting the need for biodegradable gear. We recognize and commend the early development of biodegradable ETE by Korean scientists, as it was an effort to stop ghost fishing by eel and hagfish traps. Coincidentally, the biodegradable material used in ETE has a higher density than seawater, preventing long-distance dispersal, while its biodegradability eventually eliminates the risk of ghost fishing. The further development of non-toxic, inexpensive biodegradable gear, and the sharing of success stories in usage are ultimately needed for fishermen’s acceptance.
The hierarchical framework for source identification of fishery-specific sources of ALDFG presented here, when matched with the sequential mitigation hierarchy framework presented by Gilman et al. [11] better defines appropriate interventions and other ALDFG mitigation efforts for curtailing discharge of pollution from fisheries worldwide.
Acknowledgement
The large and complex North Pacific Eel Trap Project could
not have been accomplished without the extensive multinational
collaboration of the principal authors and colleagues in each of
the four nations involved. The authors wish to extend our deepest
gratitude to the following participants:
USA: Ms Raquel Corniuk for polymer analysis of our ETE.
Dr. Kristi West (Univ. Hawaiʻi Health & Stranding Laboratory)
for providing access to ETE from necropsied marine mammals
in Hawaiʻi. State fisheries officers for providing information on
their hagfish fisheries: Andrew Olson (Alaska), Kathryn Meyer
(Washington), Troy Buell (Oregon), Travis Tanaka (California),
and Bryan Ishida (Hawaiʻi). Alexandra Kelepolo for her exceptional
collection and curation of DEFG on the island of Hawaiʻi.
Papahānaumokuākea Marine Debris Project for collections from
the NWHI. Sustainable Coastlines Hawaiʻi for collections from
Oʻahu. The five USA hagfish fishermen who collaborated on the
testing of biodegradable eel trap entrances.
Japan: Dr. Shin-ichi Ito (Tokyo University) for facilitating
meetings with fisheries unions and KAK manufacturing, for
providing crucial insight into the effects of the 2011 Tōhoku
tsunami on eel fisheries, and for editorial review of the manuscript.
Dr. Satoshi Katayama (Tōhoku University) for providing Japanese
eel fisheries statistics. Dr. Kyu Okabe (Kanagawa Prefecture
Fisheries Technology Center) and Mr. Yoshiyuki Saita for
facilitating the meeting at SHIBA Fisheries Union to learn about
eel and hagfish fishing in Tokyo Bay. Dr. Tetsuro Ishikawa (Miyagi
Prefecture Fisheries Technology Institute), Mr. Oosawa, and Mr.
Masayuki Abe for our meeting at the Omotehama Branch of Miyagi
Prefecture Fisheries Co-operative. Mr. Yuichiro Murai, President
of Kabushikigaisha Abe Kogyo, for the visit to his manufacturing
facility. Mr. Kengo Okada, CEO of PIPRO Corp., for identifying the
origin of property survey stakes found in Hawaiʻi and producing
engaging educational materials on North Pacific marine debris
distribution. Special thanks to Mr. Hideo Kinoshita of Kyushu
University for extensive field collections and DEFG analysis.
South Korea: Dr. Subong Park (National Institute of Fisheries
Science) for information on the development of biodegradable
ETE. Dr. Sunny Hong and Our Sea of East Asia Network (OSEAN)
for our introduction to marine debris research in East Asia. Mr.
Cheol Ahn Sa (Tongyeong Tongbal manufacturing company) for
providing biodegradable ETE for testing by USA fishermen, for
the trial production of biodegradable ETE using new polymers,
and for valuable insights into the manufacturing process. Dr.
Jinkee Hong, Yoojin Lee and Yoonsung Noh of the Department of
Chemical and Biomolecular Engineering, Yonsei University, Seoul,
South Korea provided analysis of composition and aging of KAK
eel trap material.
Taiwan: Chieh-shen Hu and Chi-hsuan Hsu (IndigoWaters
Institute) for coordinating coastal surveys, logistics, and
interviews engaging with beach cleanup groups, and distributing
informational materials. We thank the 40 field investigators for
conducting coastal rapid assessment surveys of the marine debris
and Hui-jing Huang for interviewing fishermen. We are also
grateful to Dr. Wen-Chien Huang and Prof. Hin-Kiu Mok (National
Sun Yat-sen University) for sharing their expertise on Taiwan’s
moray eel and hagfish fisheries.
General: We especially thank the eel and hagfish fishermen
of all four nations for their open conversations about their fishing
practices, the field researchers and the thousands of community
volunteers throughout the North Pacific who collected ETE in
support of this project.
Funding: The North Pacific Eel Trap Project was funded by
the Ocean Conservancy’s Global Ghost Gear Initiative Small Grants
Program (Grant SG23-GGGI-005), the Atherton Family Foundation,
and the Kauaʻi Chapter of the Surfrider Foundation. Incidental
collections of ETE and ETT made during marine debris cleanup
programs in the MHI during 2021-2024 were supported in part,
by NOAA Marine Debris Program grants NA18NOS9990045
and NA21NOS9990029 to Hawaiʻi Wildlife Fund and NOAA
NA23OAR4170172 to Hawaiʻi Sea Grant.
References
- Derraik JGB (2002) The pollution of the marine environment by plastic debris: a review. Marine Pollution Bulleltin 44 (9): 842-852.
- Wilcox C, Mallos NJ, Leonard GH, Rodriguez A, Hardesty BD (2016) Using expert elicitation to estimate the impacts of plastic pollution on marine wildlife. Marine Policy 65: 107-114.
- Li WC, Tse, HF, Fok, L (2016) Plastic waste in the marine environment: a review of sources, occurrence and effects. Science of The Total Environment 566-567: 333-349.
- Gilman E, Kaiser M, Suuronen P, Thomas S, Richardson K, et al. (2023) Marine Policy Special Issue. Abandoned, Lost and Discarded Fishing Gear.
- Shumway SE, Ward E (2025) Plastics in the Sea. Occurrence and Impacts. In: Academic Press, pp. 598.
- Wasave S, Kamble S, Kazi T, Wasave S, Sreekanth GB, et al. (2025) A bibliometric review on ghost fishing: Impacts on marine environment and governing measures, Marine Pollution Bulletin 212: 117604.
- Eriksen M, Cowger W, Erdle LM, Coffin S, Gómez PV, et al. (2023) A Growing Plastic Smog, Now Estimated to Be over 170 Trillion Plastic Particles Afloat in the World's Oceans—Urgent Solutions Required. PLoS ONE 18 (3): e0281596.
- Kaandorp MLA, Lobelle D, Kehl C, Dijkstra HA, van Sebille E (2023) Global mass of buoyant marine plastics dominated by large long-lived debris. Nature Geoscience 16: 689-694.
- Royer SJ, Corniuk RN, McWhirter A, Lynch HW, Pollock K, et al. (2023) Large floating abandoned, lost or discarded fishing gear (ALDFG) is frequent marine pollution in the Hawaiian Islands and Palmyra Atoll. Marine Pollution Bulletin 196: 115585.
- Berg CJ, Hafner J, Lamson MR, Maximenko NA, Welti CW (2024) Interannual variability in marine debris accumulation on Hawaiian shores: The role of North Pacific Ocean basin-scale dynamics. Marine Pollution Bulletin 203:116484.
- Gilman E, Humberstone J, Wilson JR, Chassot E, Jackson A, et al. (2022) Matching fishery-specific drivers of abandoned, lost and discarded fishing gear to relevant interventions. Marine Policy 141: 105097.
- Eriksen M, Lebreton LCM, Carson HS, Thiel M, Moore CJ, et al. (2014) Plastic Pollution in the World’s Oceans: More than 5 Trillion Plastic Pieces Weighing over 250,000 Tons Afloat at Sea. PLoS ONE 9(12): e111913.
- Lebreton L, Slat B, Ferrari F, Rose BS, Aitken J, et al. (2018) Evidence that the Great Pacific Garbage Patch is rapidly accumulating plastic. Scientific Reports 8(1): 4666.
- Lebreton L, Royer SJ, Peytavin A, Strietman WJ, Zuurendonk IS, et al. (2022) Industrialised fishing nations largely contribute to floating plastic pollution in the North Pacific subtropical gyre. Scientific Reports 12: 12666.
- Baker JD, Johanos TC, Ronco H, Becker BL, Morioka J (2024) Four decades of Hawaiian monk seal entanglement data reveal the benefits of plastic debris removal. Science 385:1491-1495.
- Kubota M (1994) A Mechanism for the Accumulation of Floating Marine Debris North of Hawaii. Journal of Physical Oceanography 24: 1059-1064.
- Donohue MJ, Boland RC, Sramek CM, Antonelis GA (2001) Derelict fishing gear in the northwestern Hawaiian Islands: Diving surveys and debris removal in 1999 confirm threat to coral reef ecosystems. Marine Pollution Bulletin 42(12): 1301-1312.
- Dameron OJ, Parke M, Albins MA, Brainard R (2007) Marine debris accumulation in the Northwestern Hawaiian Islands: An examination of rates and processes. Marine Pollution Bulletin 54(4): 423-433.
- Ribic CA, Sheavly SB, Rugg DJ, Erdmann ES (2012a) Trends in marine debris along the US Pacific Coast and Hawai’i 1998–2007. Marine Pollution Bulletin 64(5): 994-1004.
- Ribic CA, Sheavly SB, Klavitter J (2012b) Baseline for beached marine debris on Sand Island, Midway Atoll. Marine Pollution Bulletin 64(8): 1726-1729.
- Blickley LC, Currie JJ, Kaufman GD (2016) Trends and drivers of debris accumulation on Maui shorelines: Implications for local mitigation strategies. Marine Pollution Bulletin 105(1): 292-298.
- Moy K, Neilson B, Chung A, Meadows A, Castrence M, et al. (2018) Mapping coastal marine debris using aerial imagery and spatial analysis. Marine Pollution Bulletin 132: 52-59.
- Brignac KC, Jung MR, King C, Royer SJ, Blickley L, et al. (2019) Marine debris polymers on main Hawaiian island beaches, sea surface, and seafloor. Environmental Science & Technology 53(21): 12218-12226.
- Donohue MJ, Boland RC, Sramek CM, Antonelis GA (2001) Derelict fishing gear in the northwestern Hawaiian Islands: Diving surveys and debris removal in 1999 confirm threat to coral reef ecosystems. Marine Pollution Bulletin 42(12): 1301-1312.
- Boland RC, Donohue MJ (2003) Marine debris accumulation in the nearshore marine habitat of the endangered Hawaiian monk seal, Monachus schauinslandi 1999-2001. Marine Pollution Bulletin 46(11): 1385-1394.
- Uhrin AV, Walsh WA, Brodziak J (2020) Relative abundance of derelict fishing gear in the Hawaii-based pelagic longline fishery grounds as estimated from fishery observer data. Scientific Reports 10(1): 7767.
- McWhirter AC (2022) Composition of floating derelict fishing gear in the central subtropical North Pacific Ocean. Masters Thesis: Hawaiʻi Pacific University, Honolulu, HI, USA. pp. 172.
- Gall SC, Thompson SC (2015) The impact of debris on marine life. Marine Pollution Bulletin 92(1-2): 170-179.
- Wilcox C, Van Sebille E, Hardesty BD (2015) Threat of plastic pollution to seabirds is global, pervasive, and increasing. Proceedings of the National Academy of Sciences 112(38): 11899-11904.
- Suka R, Huntington B, Morioka, J, O’Brien K, Acoba T (2020) Successful application of a novel technique to quantify negative impacts of derelict fishing nets on Northwestern Hawaiian Island reefs. Marine Pollution Bulletin 157: 111312.
- Hyrenbach D, Elliott L, Cabrera C, Dauterman K, Gelman J, et al. (2020) Seabird entanglement in marine debris and fishing gear in the main Hawaiian Islands (2012-2020). ‘Elepaio 80(6): 41-46.
- Donohue MJ, Brainard RE, Parke M, Foley D (2002) Mitigation of environmental impacts of derelict fishing gear through debris removal and environmental monitoring. In: International Marine Debris Conference: Derelict Fishing Gear and the Ocean Environment Proceedings (Hawaiian Islands Humpback Whale National Marine Sanctuary Publication) pp. 383-401.
- Donohue MJ, Foley DG (2007) Remote sensing reveals links among the endangered Hawaiian monk seal, marine debris, and El Niño. Marine Mammal Science 23(2): 468-473.
- Johanos T (2022) Hawaiian Monk Seal Entanglement in Ropes, Lines, and Nets within the Papahānaumokuākea Marine National Monument, 2000−2020. Pacific Islands Fisheries Science Center, National Marine Fisheries Service Internal Report IR-22-10: 1-4.
- (2011) NOAA, Protected Resources Division, Southwest Regional Office, National Marine Fisheries Service, Fixed Gear Guide: California, Oregon, and Washington Commercial Fisheries Trap/Pot, Gillnet, and Longline/Set Line.
- (2021) NOAA, Marine Debris Program. MDMAP Marine Debris Item Categorization Guide.
- Yen N, Hsu CH, Hu J (2021) Fishery debris handbook of West Taiwan. In: Kuroshio Ocean Culture and Education Foundation. p. 22.
- Schneider F, Lin HT, Hu CS, Hsu CH, Yen N (2022) Volume-based assessment of coastal litter reveals a significant underestimation of marine litter from ocean-based activities in East Asia. Regional Studies in Marine Science 51: 102214.
- NEPC (Northwest Pacific Region Environment Cooperation Center) (2014) What kind of things are there, Marine Litter Portal Site.
- WWF Japan, World Wide Fund for Nature Japan (editors) (2025) Current status of ghost gear countermeasures in Japan - Toward a solution to plastic waste in the fishing industry. Tokyo, Japan.
- Jang M, Shim WJ, Cho Y, Han GM, Ha SY, et al. (2024) Hazardous chemical additives within marine plastic debris and fishing gear: Occurrence and implications. Journal Cleaner Production 442: 141115.
- Henderson JR (2001) A Pre- and Post-MARPOL Annex V Summary of Hawaiian Monk Seal Entanglements and Marine Debris Accumulation in the Northwestern Hawaiian Islands, 1982–1998. Marine Pollution Bulletin 42(7): 584-589.
- Johanos T (2021) Hawaiian Monk Seal Entanglements in Hagfish Trap Cones, 2000–2020. Pacific Islands Fisheries Science Center, National Marine Fisheries Service Internal Report IR-21-008.
- Bradford AL, Lyman EG (2020) Injury determinations for humpback whales and other cetaceans reported to NOAA response networks in the Hawaiian Islands during 2018. NOAA Technical Memorandum NOAA-TM-NMFS-PIFSC-103, p. 18.
- Clukey KE, Lepczyk CA, Balazs GH, Work TM, Lynch JM (2017) Investigation of plastic debris ingestion by four species of sea turtles collected as bycatch in pelagic Pacific longline fisheries, Marine Pollution Bulletin 120(1-2): 117-125.
- Wilcox C, van Sebille C, Hardesty BD (2015) Threat of plastic pollution to seabirds is global, pervasive, and increasing. Proceedings National Academy Sciences 112(38): 11899-11904.
- Young LC, Vanderlip C, Duffy DC, Afanasyev V, Shaffer SA (2009) Bringing Home the Trash: Do Colony-Based Differences in Foraging Distribution Lead to Increased Plastic Ingestion in Laysan Albatrosses? PLoS ONE 4(10): e7623.
- Wright SL, Thompson RC, Galloway TS (2013) The physical impacts of microplastics on marine organisms: a review. Environmental Pollution 178: 483-492.
- Jiang B, Kauffman AE, Li L, McFee W, Cai B, et al. (2020) Health impacts of environmental contamination of micro- and nanoplastics: a review. Environmental Health Preventative Medicine 25(29).
- Ashrafy A, Liza AA, Islam MN, Billah MM, Arafat ST, et al. (2023) Microplastics pollution: A brief review of its source and abundance in different aquatic ecosystems. Journal Hazardous Material Advances 9: 100215.
- Parolini M, Stucchi M, Ambrosini R, Romano A (2023) A global perspective on microplastic bioaccumulation in marine organisms, Ecological Indicators. 149: 110179.
- Kain EC, Lavers JL, Berg CJ, Raine AF, Bond AL (2016) Plastic ingestion by Newell’s (Puffinus newelli) and Wedge-tailed Shearwaters (Ardenna pacifica) in Hawaii. Environmental Science and Pollution Research 23: 23951-23958.
- Richardson K, Hardesty BD, Vince J, Wilcox C (2022) Global estimates of fishing gear lost to the ocean each year. Science Advances 8(41): eabq0135.
- Corniuk RN, Shaw KR, McWhirter A, Lynch HW, Royer SJ, et al. (2023) Polymer identification of floating derelict fishing gear from O'ahu, Hawai'i, Marine Pollution Bulletin 196: 115570.
- Jeong SB, Kim MS, Lee JH (2002) A Study on the Ghost Fishing of the Plastic Sea-eel Pot. Journal Korean Society Fisheries Ocean Technology 38(1): 36-42.
- Lee DI, Cho HS, Jeong SB (2006) Distribution characteristics of marine litter on the sea bed of the East China Sea and the South Sea of Korea. Estuarine Coastal and Shelf Science 70(1-2):187-194.
- Kim BY, Joo HM, Lee CH, Kim KI (2021) Analysis of the Generation Amount of Abandoned Marine Waste from Ships in the Northwest Sea of Jeju Island. Journal Korean Society Marine Environment Safety 27(1): 81-87.
- Kim MS, Lee JM, Kim JH, Kang IK (2006) Distribution and Composition of Marine Debris on the Sea Bed around the Busan Port. Journal Fisheries Marine Science Education 18(3): 236-243.
- Jeong SB (2004) Composition of marine organisms caught from lost plastic pot and possibility of sustainable ghost fishing. Journal Korean Society Fisheries Ocean Technology 40(1): 60-64.
- Kanehiro H, Tokai T, Matuda K (1995) Marine Litter Composition and Distribution on the Sea-bed of Tokyo Bay. Fisheries Engineering 31(3): 195-199.
- Seino S, Kojima A, Hinata H, Isobe A (2009) Multi-Sectoral Research on East China Sea Beach Litter Based on Oceanographic Methodology and Local Knowledge. Journal Coastal Research. Special Issue 56: 1289-1292.
- Burgess HK, Herring CE, Lippiatt S, Lowe S, Uhrin AV (2021) NOAA marine debris monitoring and assessment project shoreline survey guide. In: NOAA Technical Memorandum NOS OR&R 56.
- Chiu CC, Liao CP, Kuo TC, Huang HW (2020) Using citizen science to investigate the spatial-temporal distribution of floating marine litter in the waters around Taiwan. Marine Pollution Bulletin 157: 111301.
- Yen N, Hua CS, Chiu CC, Walther B (2022) Quantity and type of coastal debris pollution in Taiwan: A rapid assessment with trained citizen scientists using a visual estimation method. Science Total Environment 822: 153584.
- Jung MR, Horgen FD, Orski SV, Rodriguez CV, Beers KL, et al. (2018) Validation of ATR FT-IR to identify polymers of plastic marine debris, including those ingested by marine organisms. Marine Pollution Bulletin 127: 704-716.
- Lynch JM, Corniuk RN, Brignac KC, Jung MR, Sellona KM, et al. (2024) Differential scanning calorimetry (DSC): An important tool for polymer identification and characterization of plastic marine debris. Environmental Pollution 123607.
- Kim T, Park K, Hong J (2022) Understanding the hazards induced by microplastics in different environmental conditions. Journal of Hazardous Materials 424C: 127630.
- Yang W, Bian W, Wang Z, Wu Q, Lu F, et al. (2026) Adsorption Characteristics of Heavy Metals onto Functionalized Microplastics. American Chemical Society. 11(5): 11348.
- Han S, Bang J, Choi D, Hwang J, Kim T, et al. (2020) Surface Pattern Analysis of Microplastics and Their Impact on Human-Derived Cells. ACS Applied Polymer Materials 2(11): 4541-4550.
- Carlton JT, Chapman JW, Geller JB, Miller JA, Carlton DA, et al. (2017) Tsunami-driven rafting: Transoceanic species dispersal and implications for marine biogeography. Science 357(6358): 1402-1406.
- Carlton JT, Chapman JW, Geller JB, Miller JA, Ruiz GM, et al. (2018) Ecological and biological studies of ocean rafting: Japanese tsunami marine debris in North America and the Hawaiian Islands. Aquatic Invasions 13(1): 1-9.
- Murray CC, Therriault TW, Maki H, Wallace N (2019) The Effects of Marine Debris Caused by the Great Japan Tsunami of 2011. In: (Eds.) PICES Special Publication 6: 1-278.
- Haram LE, Carlton JT, Centurioni L, Choong H, Cornwell B, et al. (2023) Extent and reproduction of coastal species on plastic debris in the North Pacific Subtropical Gyre. Nature Ecology & Evolution 7: 687-697.
- Scott S (2010) Scientists study slimy hagfish as link to ancient animal world.
- OSEAN (2021) Eel Traps. In Korea National Beach Litter Monitoring Program - 2021 Annual Report. Ministry of Oceans and Fisheries & Korea Marine Environment Management Organization, Republic of Korea IV 2(6): 124-127.
- Howell EA, Bograd SJ, Morishige C, Seki MP, Polovina JJ (2012) On North Pacific circulation and associated marine debris concentration. Marine Pollution Bulletin 65(1-3): 16-22.
- Van Sebille E, Aliani S, Law KL, Maximenko N, Alsina JM, et al. (2020) The physical oceanography of the transport of floating marine debris. Environmental Research Letters 15: 023003
- Checkley DM, Barth JB (2009) Patterns and processes in the California Current System, Progress in Oceanography 83(1-4): 49-64.
- Polasek L, Bering J, Kim H, Neitlich P, Pister B, et al. (2017) Marine debris in five national parks in Alaska. Marine Pollution Bulletin 117(1-2): 371-379.
- Kubota M, Takayama K, Namimoto D (2005) Pleading for the use of biodegradable polymers in favor of marine environments and to avoid an asbestos-like problem for the future. Applied Microbiology Biotechnology 67(4): 469-476.
- Maximenko N, Hafner J, Niiler P (2012) Pathways of marine debris from trajectories of Lagrangian drifters. Marine Pollution Bulletin 65(1-3): 51-62.
- Miron P, Vera FJB, Helfmann L, Koltai P (2021) Transition paths of marine debris and the stability of the garbage patches. Chaos 31(3): 033101.
- Maximenko N, Hafner J, Kamachi M, MacFadyen A (2018) Numerical simulations of debris drift from the 2011 tsunami in Japan, verified with boat reports. Marine Pollution Bulletin 132: 5-25.
- Maximenko N, MacFadyen A, Kamachi M, Hafner J (2019) Modeling oceanographic drift of Japanese Tsunami Marine Debris. In: Murray C, Therriault TW, MakiH, Wallace N (Editors) The Effects of Marine Debris Caused by the Great Japan Tsunami of 2011. PICES Special Publication 6: 27-78.
- Hickey BM, Royer TC, Amos CM (2019) California and Alaska Currents. In: Cochran JK, Bokuniewicz HJ, Yager PL, (Eds.), Encyclopedia of Ocean Sciences (Third Edition), Academic Press 3: 318-329.
- NGII, National Geography Information Institute, Ministry of Land Infrastructure and Transport (2017) The National Atlas of Korea, Comprehensive edition.
- Qiu Y, Li L, Chen CTA, Guo X, Jing, C (2011). Currents in the Taiwan Strait as observed by surface drifters. Journal Oceanography 67(4): 395-404.
- Liao W, Hu J, Peng, P (2018) Burial of organic carbon in the Taiwan Strait. Journal Geophysical Research: Oceans 123(9): 6639-6652.
- Ma Y, Yin W, Guo Z, Xuan J (2023) The Ocean Surface Current in the East China Sea Computed by the Geostationary Ocean Color Imager Satellite. Remote Sensing 15(8): 2210.
- Thushari GGN, Miyazono K, Sato T, Yamashita R, Takasuka A, et al. (2023) Floating plastic accumulation and distribution around Kuroshio Current, western North Pacific. Marine Pollution Bulletin 188: 114604.
- Love MS, Mecklenburg CW, Mecklenburg TA, Thorsteinson LK (2005) Resource inventory of marine and estuarine fishes of the West Coast and Alaska: A checklist of North Pacific and Arctic Ocean species from Baja California to the Alaska-Yukon border. U.S. Department of the Interior, U.S. Geological Survey, Biological Resources Division, Seattle, Washington, 98104.
- Fernholm B (1998) Hagfish systematics. In: Jørgensen JM, Lomholt JP, Weber RE, Malte H (Eds.), The biology of hagfishes. Chapman & Hall, London p. 33-44.
- Masuda H, Amaoka K, Araga C, Uyeno T, Yoshino T (1984) The fishes of the Japanese Archipelago. Tokai University Press, Tokyo, Japan 1: 437.
- Hsun CK, Kiu MH (2011) Hagfish conservation needed in Taiwan. Kuroshio Science 5(1):29-32.
- Ellis JE, Rowe S, Lotze, HK (2015) Expansion of hagfish fisheries in Atlantic Canada and worldwide. Fisheries Research 161: 24-33.
- Fleury, AG, MacLennan EM, Command RJ, Juanes F (2021) Reproductive biology and ecology of Pacific hagfish (Eptatretus stoutii) and black hagfish (Eptatretus deani). Journal of Fish Biology 99(2): 596-606.
- TNC (2019) The Nature Conservancy Oregon (editors) (2019) Resource and Market Analysis of Oregon’s Hagfish Fishery in Preparation for a Future Fishery Management Plan. Microsoft Word - Resource and Market Analysis of Oregon's Hagfish p. 49.
- Seo YI, Jeong GC, Cha HK, Jo HS, Lee YW, et al. (2020) Change of relative fishing power index from technological development in the offshore conger eel pot fishery. Journal Korean Society Fisheries Ocean Technology 56(1): 37-44.
- Kim S, Park Sw, Lee K (2014) Fishing performance of environmentally friendly tubular pots made of biodegradable resin (PBS/PBAT) for catching the conger eel Conger myriaster. Fisheries Science 80: 887-895.
- Dou Sz (2013) Eels in China: species, fisheries, stock management and culture. In: Tsukamoto K, Kuroki M (Eds.), Eels and Humans, Humanity and the Sea, Tokyo: Springer Japan pp. 117-128.
- Kim J, Park S, Jung S, Yun H, Choi K, et al. (2023) Biodegradation behavior of polybutylene succinate (PBS) fishing gear in marine sedimentary environments for ghost fishing prevention. Polymer Degradation and Stability 216: 110490.
- McIlwain K (2013) Catch shares in action: Japanese Common Fishing Rights System. Environmental Defense Fund.

















