Abstract
The study examined the effects of intercropping durum wheat with fenugreek or faba bean on agronomic performance, biological indices, competition, and profitability in Northern Tunisia during the winters of 2019 and 2020. The experiment included five treatments: durum wheat monocrop (SCDW), durum wheat-faba bean intercrop (ICDW-FB), durum wheat-fenugreek intercrop (ICDW-FG), faba bean monocrop (SCFB), and fenugreek monocrop (SCFG), arranged in a split-plot design.
Intercropping showed advantages over monocropping, increasing dry matter production at maturity by 10% for the wheat-faba bean and 7% for the wheat-fenugreek combinations. Key bio-indices, including the land equivalent ratio (LER), relative efficiency index cumulative (REIC), crop growth ratio (CGR), green area index (GAI), and leaf area index (LAI), were influenced by plant density, architecture, and species, showing superior performance in intercropped systems. Overall, the wheat-faba bean intercrop outperformed other treatments in biomass production and competition indices for dry matter, light, and leaf area, demonstrating higher bio-agronomic benefits.
Keywords: Intercropping; Wheat; Grain legume; LER; REIc; CGR; Light; Interspefic interaction
Introduction
Intercropping is a traditional and profitable agricultural method that efficiently uses available resources by cultivating multiple crops together on the same land, though they may not be harvested simultaneously [1]. This practice enhances soil quality, plant growth, and yield, supporting sustainable agroecosystems by improving root interactions. Compared to monocropping, intercropping boosts resource use efficiency, including the uptake of nutrients, sunlight, and water [2-4]. The efficiency of the agricultural system appear as one of the promising levers in a context of low mineral nitrogen level by increasing biological fixation of atmospheric nitrogen through a symbiotic N2 fixation and reducing the dependence on chemical nitrogen input [2,4,5].
Moreover, the inclusion of legumes in intercropping systems plays a significant role in reducing greenhouse gas emission [6] and improving carbon sequestration and biomass production [5,7]. Furthermore, cereal-legume intercropping play an important role as an important design in allowance food production especially in situations of restricted water resources [8] as well as the reducing and protection from insect, weed and crop diseases [2,9,6].
Intercropping is an agroecological practice that promotes various plant interactions-such as competition, complementarity, facilitation, and compensation-providing a more efficient use of resources [8]. This practice can enhance total yield by leveraging differences in growth requirements of intercrop components [10- 12]. Competition for resources like water, light, and soil nutrients occurs both above and below ground, contributing to biomass production [4]. Temporal and spatial complementarity can also vary based on crop architecture [13], light interception ( [14,9,15], use of N-sources [4] and availability of phosphorus [16,17].
The efficiency of intercropping relies on the compatibility of the cropping system and the selected crops, which must complement each other. It is measured using indices such as the land equivalent ratio (LER), which quantifies the relative land area in monoculture needed to match intercropping productivity [18]. This index is valuable for assessing competitive advantages, interference, and facilitation effects. The aggressivity index [19] further evaluates competition intensity through plant biomass measurements in monocultures and intercrops [20]. Other indices, like relative growth rate (RGR), green area index (GAI), leaf area index (LAI), competitive ratio (CR), and monetary advantage (MA), help describe competition dynamics and potential economic benefits in intercropping [21,10,12,4,22].
This research aimed to evaluate the effects of interspecific competition and the profitability of intercropping under agroecological conditions in Northern Tunisia. The study compared the potential advantages of intercropping with sole cropping by analyzing competition indices and resource-use complementarity.
Materials and methods
Site, Climate, and Soil
The field study was conducted at an experimental farm in Mateur located Northen Tunisia (Sidi Nsir : 37°03’49. 40”N ; 09°24’25. 55”E) during the 2008-2009 growing seasons. The region has a sub-humid climate, with an annual average precipitation of 737 mm and an average temperature of 13°C. Daily air temperatures reached a maximum of 32°C in June and a minimum of 4°C in February. Climatic conditions during the experimental period are depicted in Figure 1.

The farming practices were conventional, primarily based on a cereal-legume rotation with an emphasis on cereal crops. Durum wheat served as the preceding cover crop before the experiment. The soil at the study site is classified as sandy clay, comprising 18% clay, 12% silt, 23% coarse sand, 43% fine sand, and 3% very fine sand. Soil analysis (Table 1) indicated an acidic pH in the surface layer that shifts to a more basic pH with depth. Organic matter (OM) content was higher at the surface (18‰) than at deeper layers (10‰).
Experimental Design and Management
The experiment followed a split-plot design with three replicates for each species combination. Three commonly cultivated species in the region were selected: (i) durum wheat (Khiar), (ii) faba bean (Badii), and (iii) fenugreek (local variety). The five cropping systems tested included: durum wheat sole crop (SCDW), durum wheat_faba bean intercrop (ICDW-FB), durum wheat_fenugreek intercrop (ICDW-FG), faba bean sole crop (SCFB), and fenugreek sole crop (SCFG). Each plot measured 90 m², with rows spaced 40 cm apart for faba bean and 20 cm for both durum wheat and fenugreek. Table 2 provides the sowing density for each combination.


One day after sowing (DAS), a treatment with herbicide was carried out which consists in a mixture of linuron (400 g/ha) and trifluarin (960 g/ha). No fertilizers, fungicides or insecticides have been applied during the development cycle.
Plant Measurements, processing, and calculations
Four biomass samplings were conducted at key growth stages: 75 days after sowing (DAS) (early vegetative growth/tillering and leaf development), 100 DAS (stem extension/flowering), 135 DAS (heading for durum wheat and full bloom/flat pod growth for faba bean and fenugreek), and 170 DAS (physiological maturity/ ripening) for each species. Biomass was sampled from areas of 0.4 m² (four successive 0.5 m rows). The collected aboveground biomass was used to calculate biomass yields. Additional measurements for durum wheat included the number of spikes per m², spike biomass, and straw biomass. Mechanical threshing was performed for all three crops to obtain clean grains, and grain yield (t ha⁻¹) was measured. Biomass dry weight (g m-²) was determined by oven-drying samples at 95°C for 48 hours.
Land equivalent ratio
The land equivalent ratio (LER) measures the efficiency of land use in intercropping compared to monoculture by determining the land area in monoculture required to achieve yields comparable to those of an intercropping system [23,15]. A widely used index for assessing yield advantages, LER indicates whether intercropping is more productive than sole cropping [15,23]. Total LER (TLER) evaluates the overall performance of the intercropping system, while partial LER (PLER) assesses the performance of each individual crop within the intercropping system relative to its monoculture, based on each species’ dry matter yield [24]. A TLER value greater than 1 signifies a yield advantage of intercropping, whereas an LER value below 1 suggests a negative effect on growth and yield in the intercropping system [15,23]. The LER is calculated using the following formula:
 
where DMintercropped A and DMintercropped B are DM of intercropped crops A and B, based on land area of whole intercrop system, and DMsole cropA and DMsole cropB are DM of monoculture crops A and B.
Green area index and leaf area index
To measure the green area index (GAI) and leaf area index (LAI) of plants in the cropping system, high-resolution digital photographs were taken for each plot using a PENTAX L200 camera. Consistency was maintained by keeping the camera at a height of 1 meter above the ground and positioning it in the same direction for each image. Photos were captured shortly before sunset to achieve uniform lighting.
For leaf area measurement, leaves from different species were separated, spread on an A4 paper (21.1 cm x 29.8 cm), and photographed (following [1]). These images were saved as highresolution, uncompressed files and analyzed using PAINT.NET© software, which used color discrimination to differentiate leaf material from non-leaf material. The vegetation cover rate was then calculated as the percentage of image area covered by plant biomass ([1000] Tarhouni et al., 2016). The leaf area (LA) was calculated according to following formula:
LA = GAI x S
with S : A4 paper surface which was 629 cm².
Consequently, LAI = (LA/DM)x DMT ; DM : aboveground dry
matter of plant subsamples (g.m-2). DMT : Total dry matter of
plants (g.m-2)
Cumulative relative efficiency index and crop growth rate
The cumulative relative efficiency index (REIc) and comparative absolute crop growth rate (CGR) for two time intervals between successive sampling was evaluated as the relative performance of species for biomass production. Within a given time interval (t1 to t2), the REIc was determined according to [1000] Cannoly (1987) by the measurement of the aboveground DM ratio of one species relative to another (K).
 
If REIc value = 1 means that both of intercropped species have the same growth during the vegetative phase.
While, the crop growth rate CGR was used to determine the evolution of the dry matter per unit area and over time in interropping system. CGR was the ratio of dry matter (DM) of both intercropped species (IC) :wheat (Wh) and grain legume (leg) between two growth stages from sowing (t1) to Maturity and devided by thermal time accumulated during stages. According to [20,21], CGR was calculated through the following formula:
 
If CGR>1 reflecting a rapid growth rate of wheat then fababean and fenugreek during the over time of development cycle and vice versa when CGR <1.
Statistical Analysis
Analysis of variance was performed on all data to test for significance of treatments, and means using General Linear Model (GLM) procudure of Statistical Package for the Social Sciences (SPSS) version 20.0. The significance of differences between treatements was estimated at least significance difference (LSD) and probabilities (p<0.05). The mean values were compared using Duncun’s multiple range test.
Results and Discussion
Aboveground dry matter production
Analysis of variance showed that cropping pattern significantly (p<0.05) affected final aboveground dry matter production of durum wheat in sole cropping and intercropping systems. Maximum biomass was recorded with monocropped durum wheat at maturity stage (170 DAS ) with an amount of 15 t/ha and minimum biomass of 7 t/ha was recorded when faba bean or fenugreek were intercropped in durum wheat (Figure 2). These results are in accordance with previous studies with the intercop durum wheat-faba bean by [25], durum wheat-fenugreek by [26]. The reduction of intercrops wheat was due in fact to the influence of density on performance parameters during development cycle and dry matter production as reported by [26] in his studies with different intensities of intercrops wheat-fenugreek and [4] for intercropped barley-pea.
The above-ground biomass of sole cropped faba bean and fenugreek increased during the developpment cycle from 0,5 to 8,6 t/ha and from 0.3 to 6.8 t/ha, respectively. The peak of dry mass production was noticed at podding stage (Figure 2). Durum wheat was the dominant component of the intercropping system as its dry matter accumulation were from 1.7 to 2.2 times higher than that of faba bean and fenugreek, respectively (Figure 2). Several studies have adressed the competition for several growth resources is greater for cereals than legumes in cereals–legumes intercropping [27].
Compared to sole crop, the production of the dry matter of faba bean or fenugreek associated with durum wheat was significantly lower (p<0.05). This réduction was estimated at 37 % and 43%, respectively. This decrease is due to competition for different environemental resources. Similar results was observed by [2] who found a reduction of intercropped legume biomass in comparison to the sole crop legume, explained by decrease in the amount of N2 fixed by the intercropped legume. Other studies reported a significant increase in above-ground biomass of intercropped faba bean during continuous maizefaba bean intercropping for ten years [28]. Legumes, with their adaptability to different cropping patterns and their ability to fix N2, may offer opportunities to sustain increased plant biomass for intercropped species [16, 29]. Moreover, [27] explained in his investigation with the intercropping systems the ability of wheat and fababean in absorbing nutrients because of their differences in root morphology and cation exchange capacity. The advantages use of growth resources of intercropping in either space or time may arise productivity [11]. In the same way, [26] reported that the biomass production was significantly reduced with different intensities of intercrops and spatial arragement of wheat with fenugreek and the maximum biomass was recorded in wheat sole cropped [30], demonstrated that chickpea was dominated by wheat crop. in intercropping system wheat-Chickpea and the production of biomass reached highest values at the first growth stages in wheat.


Land equivalent ratio (LER) of the intercropping system
Results revealed that partial land equivalent ratio (PLER) of faba bean and fenugreek were greater than 0.5, while PLER of durum wheat intercropped was less than 0.5 (Figure 3). PLER was highly affected by intercropping patterns (P<0.01) and were consistently greater for legumes crop compared with cereal. Based on total dry mass accumulation in the intercropping system, the highest value of total LER (1.25) was recorded at 75 and 101 DAS for faba bean-wheat and fenugreek-durum wheat intercrop, respectively. In other words, growing SC legume and SC cereal alone would require an additional land on average to produce the same total dry mass as the IC total under the same management practice, depending on the harvest time. The intercrop system can obtain, on average, 10% and 7% greater biomass per unit area than monocropping faba bean and fenugreek, respectively. Legume–cereal intercrop was consistently more productive for total dry mass per unit area compared to sole crops, which is in line with other studies [2,27,31,30]. Similar reports on obvious intercropping advantage of legume-nonlegume crops have been explained by a better use and exploitation of environmental resources [1,32,33].

Effect of integrated systems on the leaf area and green area index
The integrated systems had a significant effect on leaf area index (LAI) of intercropped wheat (Figure 3). Meanwhile, LAI of sole cropped durum wheat, faba bean and fenugreek was the highest at the flowering stage. Among cropping systems, LAI reached the highest value of 6.3 in the sole cropped durum wheat at flowering stage and decrease to 3.5 at maturity stage (rippening) .At wheat tillering stage, LAI of intercropped durum wheat with faba bean (DW-FB) and fenugreek (DW-FG) was lower than that of the monoculture wheat but the difference was not significant. During the entire growth period, LAI of monocropped durum wheat was markedly higher than that of mono-cultured faba bean/fenugreek and all intercropping patterns. However, LAI of the intercropped wheat were 24% higher than that sole cropped faba bean and 20% lower than sole cropped fenugreek at maturity stage. The results obtained by [34] showed that intercropping systems (wheat-faba bean) had a significant effect on natural resources consumption, where this mixed crop had more light interception and water, and nutrient uptake compared to sole crops, proposing the complementarity effect of intercrops components in resources consumption. These results are in conformity with the findings of [35] who reported that LAI was significantly higher in two intercrops wheat-lens and wheat-lupin for spatial and temporal complementarity for light acquisition. Moreover, the results obtained by [36] showed a depletion of LAI in mixed crops (durum wheat-faba bean) compared to durum wheat monocrop.
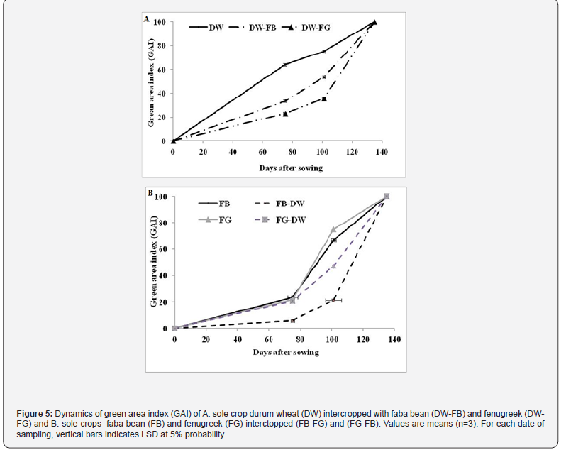
The evolution of the green leaf area index (Figure 4A) was faster at the begining of the growth cycle of durum wheat (0-75 DAS) and after that decline during the end of the cycle (135-170 DAS). A reversed situation was observed from tillering stage and stem elongation with intercropped durum wheat with faba bean and/or fenugreek where the green LAI was significantily (p<0,05) higher and was more pronounced when associated with fababean (DW-FV) than associated with fenugreek (DW-FG) (Figure 4B). In addition, during the first satge significant differences of green area rate were obtained among the cropping systems ranging from 6% and 23% for faba bean wheat mixture than sole crops faba bean. However, during flowering stage, green area index changed to 21% and 67%, respectively. In contrast, no dfifference was observed between mono and mixed crops fenugreek at the first stage for the green LAI parameter. However, during flowering stage (stage2 : 75-100 DAS) a significant increase (p<0.05) was observed between the cropping system.


The observed decrease in LAI for faba bean crop from sole to intercrops resulting from slow down in the development caused mainly by the presence of durum wheat cultivation which is mainly competitive for light. Earlier change-point in mixture crops durum wheat faba bean system was possibly due to strong competition of intercropped durum wheat for nitrogene. Before stem elongation, less light competition and early available nitrogene are strongly beneficial for crop growth [23]. The changing trends of the GAI (Figure 5A & B) appeared like a dome for both faba bean and durum wheat which is consistent with previous studies [23,37,38];. Durum wheat had superiority on biomass production and nitrogene uptake compared with to faba bean only at early stages in the intercropping system that resulted from fundamental characteristics of plant species which is consistent with the results of intercropped wheat and common vetch [20].
In chickpea-wheat intercropping, the highest of green area (GA) was observed during early growth period 60-75 days after sowing for monocropped wheat and mixed crop compared to sole crop chickpea [16] and at the end of the vegetative growth (116 DAS) the decline was slower for chickpea and was higher for both monocropped and intercropped wheat. Based on fundamental characteristics of coverage rate for mixed crops (wheat-lens), [36] reported a cumulatives benefits for early development in wheat compared to late development of lens crop.
Competition indices: cumulative relative efficiency index (REIc) and crop growth rate (CGR)
In the present study, interspecies growth dynamics REIc and CGR allowing better understanding of competitive interactions in intercrop and sole crop dynamics changed over time and values above 1 was detected at the beginning of flowering corresponding to 100 DAS (Figure 6). In addition, we observe a proportional changes in total dry weight (K) and dry weight growth rate (GR) of durum wheat compared to faba bean or fenugreek, respectively. The REIc values were close or less than 1 during the two following growth period (100-135 DAS and 135-170 DAS) showing that the propotional growth of faba bean or fenugreek was at least similar to that of durum wheat and mostly faster.

When, durum wheat intercropped with fenugreek DW-FG, the REIc was less than 1 for the two firsts development stages(1,2). This means that the vegetative growth of fenugreek dominates than that of durumwheat at the beginning of the physiological cycle. Nevertheless, the REIc was subsequently greater than 1 indicating a good performance of durum wheat growth compared to fenugreek. Contrastly to mixed crops DW-FB, the trend was reversed, the relative effeciency was more important at the beginning of the cycle than towards the end. This indicated that durum wheat has a better start vegetative growth than faba bean at early stage which is due to the early emergency of durum wheat compared to faba bean. These observations as pointed out by [4] who reported that the REIc was greater than 1 for the combination barley and pea crops.
During tillering to stem elongation phase, CGR of mixed crops durum wheat-faba bean increased rapidly to reach the values from 2 to 13 t ha per day then it decreases at the end of the phenologic cyle. These inccrease indicate a better growth performance of durum wheat and its dominance over the develepoment period except of the maturity stage. Such similar results were also obtained by [12] for intercrops (maize-groundnut) with a lower CGR at the beginning of the developement cycle to reach a maximum value at 60 and 75 days after sowing. However, durum wheat growth intercropped with fenugreek was significantly lower (p< 0.05) and the CGR was less than 1 especially between the first stages (end tillering) and the second (stem elongation) indicating a rapid growth of fenugreek between rge two phenologically stages corresponding to the 3-4 leaves and the begining flowering, respectively. This rapidity could be explained by the requirements of natural ressource for fenugreek crop to develop its above ground biomass. These results are consistent with those reported by [39] showing a weaker growth of the aerial parts for fenugreek until the beginning of flowering.
The difference between the relative performances of growth for the two types of mixed crops (DW-FB) or (DW-FG) presented by the two bio-indices REIc and CGR could be due to the phenological difference of plants and the choice of species in the intercrops components and also to the plant density (as additive for fenugreek and a replacement for faba bean). Moreover, as pointed by [1000] Bedessouc and Justes (2011), their results confirmed the obove obtained by ours, that both REIc and CGR values were above 1 reflecting a dynamic growth of specices which changed during all physiological stage from sowing to stem elongation of durum wheat. In addition, CGR values were higher than REIc value reflecting that biomass yield of wheat was more important than that of winter pea. Other studies reported that durum wheat had a better emergence than grain legume indicating a faster root growth and development of cereal after emergence stage [9]. Moreover,most researchs highlighted on the importance of root architecture, notably, horizontaland lateral root and their distributions of intercropped species (wheat-fababean) in order to improve their abilitie to exploit environmental resources [13, 40-42]. Result of Diziyee and Maarouf, (2019) showed that wheat intercropped with chickpea had a crop growth rate (CGR) of 0.033 g m-2d-1 and 0.522 g m-2d-1 or during the first two period. On the other hand, [1000]Amunuallah et al, (2021) reported in their research that wheat grown as sole crops or intercropped with fababean produced maximum CGR and Fababean grown as sole crop or intercropped with wheat produced higher CGR. From their results, it was concluded that cereal with legume intercropping, particularly, wheat-fababean in winter are the most productive intercropping systems. Intercropping of faba bean and durum wheat proved to be the most compatible cropping system as compared with fababean intercropped with other cereal barley [43-46].
Conclusion
This study assesses the performance of intercropping durum wheat with legumes-faba bean and fenugreek-compared to their respective sole crops. The findings highlight the benefits of intercropping systems, particularly through enhanced growth dynamics, competitiveness, and spatial-temporal complementarity in utilizing natural resources. The data reveal a shift in resourcecapture dynamics over time, influencing the productivity of durum wheat, especially in biomass accumulation. While durum wheat exhibited a higher growth rate in the early stages, faba bean and fenugreek eventually surpassed it in growth, demonstrating the shifting advantages of intercropping at different developmental phases.
In mixed cropping, a similar trend was observed across all bioindices (REIc, CGR, GAI, and LAI), indicating species dominance within the intercropping system. The total land equivalent ratio (LER) at the maturity stage exceeded, showing that both associated crops achieved higher aboveground biomass than in monocropping. This result reflects a more effective exploitation of environmental resources in intercropping systems.
The land equivalent ratio (LER) displayed some variation, influenced by factors such as cultivar, plant density, and architecture, all of which play critical roles in the effectiveness of intercropping. The analysis showed that intercropping advantages were more pronounced when biomass yields in one or both sole crops were significantly lower, highlighting the competition between species and the clear dominance of wheat, especially over fenugreek. These results suggest that intercropping offers a promising strategy for boosting bio-agronomic efficiency in Northern Tunisia. By improving land use, resource efficiency, and resilience to environmental stressors, intercropping could be an effective agricultural practice for semi-arid regions. Additional research and trials in diverse environmental settings would help confirm these findings and support the broader adoption of intercropping in other regions with similar climatic challenges.
Acknowledgement
The authors acknowledge the technical support provided by the National Institute of Agricultural Research of Tunisia (INRAT) and the Center for International Cooperation in Agricultural Research for Development (CIRAD). Their assistance was invaluable in executing this study.
References
- Kammoun B, Journet EP, Justes E, Bedoussac L (2021) Cultivar Grain Yield in Durum Wheat-Grain Legume Intercrops Could Be Estimated From Sole Crop Yields and Interspecific Interaction Index. Front. Plant Sci 12: 705-733.
- Bedoussac L, Journet EP, Hauggaard-Nielsen H, Naudin C, Corre-Hellou G, et al. (2015) Ecological principles underlying the increase of productivity achieved bycereal-grain legume intercrops in organic farming: a review. Agron Sustain Dev 35: 911-935.
- Li C, Dong Y, Li H, Shen J, Zhang F (2014) The Dynamic Process of Interspecific Interactions of Competitive Nitrogen Capture between Intercropped Wheat (Triticum aestivum) and Faba Bean (Vicia faba L.). PLoS ONE 9(12): e115804.
- Hauggaard-Nielsen H, Gooding M, Ambus P, Corre-Hellou G, Crozat Y, et al. (2009) Pea-barley intercropping for efficient symbiotic N2-fixation, soil N acquisition and use of other nutrients in European organic cropping systems. Field Crops Research 113(1): 64-71.
- Louarn G, Bedoussac L, Gaudio N, Journet PE, Moreau D, et al. (2021) Plant nitrogen nutrition status in intercrops– a review of concepts and methods. European Journal of Agronomy 124: 126229.
- Trinder C, Brooker R, Davidson H, Robinson D (2012) Dynamic trajectories of growth and nitrogen capture by competing plants. New Phytologist 193(4): 948-958.
- Zgallai H, Zoghlami RI, Annabi M, Zarrouk O, Jellali S, et al. (2023) Mitigating soilwater defcit using organic waste compost and commercial water retainer: a comparative study under semiarid conditions. Euro-Mediterranean Journal for Environmental Integration 9: 377-391.
- Cardinale BJ, Palmer MA, Collins SL (2002) Species diversity enhances ecosystem functioning through interspecific facilitation. Nature 415(6870): 426-429.
- Corre-Hellou G, Dibet A, Hauggaard-Nielsen H, Crozat Y, Gooding M, et al. (2011) The competitive ability of pea–barley intercrops against weeds and the interactions with crop productivity and soil N availability. Field Crops Res 122(3): 264-272.
- Dhima KV, Lithourgidis AS, Vasilakoglou IB, Dordas CA (2007) Competition indices of common vetch and cereal intercrops in two seeding ratio. Field Crops Research 100(2-3): 249-256.
- Ebbisa A (2022) Mechanisms underlying cereal-legume intercropping as nature-based biofortifcation: A review. Food Production, Processing and Nutrition 4(19): 1-17.
- Ghosh PK (2004) Growth, yield, competition and economics of groundnut-cereal fodder intercropping systems in the semi-arid tropics of India. Field Crops Res 88(2-3): 227-237.
- Steen JE, Carlsson G, Hauggaard NH (2020) Competition for several growth resources is greater for cereals than legumes in cereals-legumes intercropping. Agronomy for Sustainable Development 40(5): 1-9.
- Desperrier N, Baccou JC, Sauvaire Y (1986) Nitrogen fixation and nitrate assimilation in field-grown fenugreek (Trigonella foenum graecum ). Plant and Soil 92: 189-199.
- Streit J, Meinen C, Rauber R (2019) Intercropping effects on root distribution of eight novel winter faba bean genotypes mixed with winter wheat. Field Crop Res 235: 1-10.
- Betencourt E, Duputel M, Colomb B, Desclaux D, Hinsinger P (2012) Intercropping promotes the ability of durum wheat and chickpea to increase rhizosphere phosphorus availability in a low P soil. Soil Biol. Biochem 46: 21-33.
- Hinsinger P (2001) Bioavailability of soil inorganic P in the rhizosphere as affected by root-induced chemical changes: a review. Plant Soil 237: 173-195.
- Wasaya A, Ahmad R, Hassan FU, Ansar M, Manaf A, et al. (2013) Enhancing crop productivity through wheat (Triticum aestivum) - fenugreek intercropping system. Journal of Animal and Plant Sciences 23(1): 210-215.
- McGilchrist CA (1965) Analysis of competition experiments.Biometric 21: 975-985.
- Bedoussac L and Justes E (2010) Dynamic analysis of competition and complementarity for light and N use to understand the yield and the protein content of a durum wheat–winter pea intercrop. Plant Soil 330(1): 37-54.
- Bedoussac L, Justes E (2011) A comparison of commonly used indices for evaluating species interactions and intercrop efficiency : Application to durum wheat-winter pea intercrops. Field Crop Research. 124(1): 25-36.
- Oubenali A, Moukhtari A, Lamsaadi N, Beraouz A, Mouradi M, et al. (2024) The potential role of durum wheat–chickpea intercropping in promoting plant growth and yield in low soil phosphorus availability under field conditions. Euro-Mediterranean Journal for Environmental Integration 9: 1325-1345.
- Salvagiotti F and Miralles D (2008) Radiation interception, biomass production and grain yield as affected by the interaction of nitrogen and sulfur fertilization in wheat. European Journal of Agronomy, 28(3): 282-290.
- De Wit CT, Van den Bergh JP (1965) Competition between herbage plants. Neth J Agric. Sci 13: 212-221.
- Luo C, Zhu J, Ma L, Guo Z, Dong K, et al. (2021) Effects of nitrogen regulation and strip intercropping on faba bean biomass, nitrogen accumulation and distribution, and interspecific interactions. Crop Science 61(6): 4325-4343.
- Wang Z, Bao X, Li X, Jin X, Zhao J, et al. (2015) Intercropping maintains soil fertility in terms of chemical properties and enzyme activities on a timescale of one decade. Plant Soil 391(1-2): 265-282.
- Salinas RS, Morales GA, Espinoza S, Pérez DR, Carrasco B, et al. (2024) N2 Fixation, N Transfer, and Land Equivalent Ratio (LER) in Grain Legume–Wheat Intercropping: Impact of N Supply and Plant Density. Plants 13(7): 991.
- Voisin AS, Guéguen J, Huyghe C, Jeuffroy MH, Magrini MB, et al. (2013) Legumes for feed, food, biomaterials and bioenergy in Europe: a review. Agron Sustain Dev 34: 361-380.
- Latati M, Blavet D, Alkama N, Laoufi H, Drevon JJ, et al. (2014) The intercropping cowpea-maize improves soil phosphorus availability and maize yields in an alkaline soil. Plant Soil 85: 181-191.
- Nelsonae WCD, Schöllbe JS, Hoffmanna MP, Rötterae RP, Whitbread AM, Link W (2021) What determines a productive winter bean-wheat genotype combination for intercropping in central Germany. European Journal of Agronomy 128: 126294.
- Cowden RJ, Naz Shah A, Lehmann LM, Kiær LP, Henriksen CB, et al. (2020) Nitrogen Fertilizer Effects on Pea–Barley Intercrop Productivity Compared to Sole Crops in Denmark. Sustainability 12: 9335-9342.
- Mead R, Willey RW (1980) The concept of land equivalent ratio and advantages in yields. Exp. Agric 16(3): 217-228.
- Xu Y, Lei B, Tan Y (2018) Effects of Wheat-Faba Bean Intercropping on Soil Microbial Community Structure in the Rhizosphere. Agricultural Sciences 9(11): 1389-1400.
- De Long JR, Van Malland F, De Buck A, Van den Berg M (2023) Wheat and faba bean intercropping and cultivar impacts on morphology, disease, and yield. Agronomy Journal 115: 3010-3024.
- Carton N, Viguier L, Bedoussac L, Journet EP, Naudin C, et al. (2019) Produire des légumineuses à graines au moyen de l’association avec une céréale : cas de la lentille et du lupin blanc d’hiver. Innovations Agronomiques 74: 129-141.
- Habtamu M, Elias E, Argaw M, Feleke G (2024) Intercropping wheat (Triticum aestivum) with faba bean (Vicia faba) combined with vermicompost and NPS fertilizer application increases crop yields and agronomic efficiency in the humid mid-highlands of Ethiopia, Cogent Food & Agriculture 10(1): 2324539.
- Bulson HAJ, Snaydon RW, Stopes CE (1997) Effects of plant density on intercropped wheat and field beans in an organic farming system. J Agr Sci 128(1): 59-71.
- Tsubo M, Walker S, Ogindo HO (2006) A simulation model of cereal-legume intercropping systems for semi-arid regions. Department of Soil, Crop and Climate Sciences, University of the Free State. Field Crops Research 93(1): 10-22.
- Berghuijs HNC, Wang Z, Stomph TJ, Weih M, Van der Werf W, Vico G (2020) Identification of species traits enhancing yieldin wheat-faba bean intercropping: development and sensitivity analysis of a minimalist mixture model. Plant Soil 455: 203-226.
- Chen P, Du Q, Liu ZG, Zhou L, Hussain S, et al. (2017) Effects of reduced nitrogen inputs on crop yield and nitrogen use efficiency in a long-term maize-soybean relay strip intercropping system. PLoS ONE 12(9): e0184503.
- Li Y, Lv J, Zhao Q, Chen L, Dong Y, et al. (2020) Wheat-faba bean intercropping improves physiological and structural resistance of faba bean to fusaric acid stress.Plant pathology 70(4): 827-840.
- Bedoussac L and Justes E (2009) The efficiency of a durum wheat-winter pea intercrop to improve yield and wheat grain protein concentration depends on N availability during early growth. Plant Soil, Volume 330(1): 19-35.
- Lithourgidis AS, Vasilankoglou IB, Dhima KV, Doradas CA, Yiakoulaki MD (2006) Forage yield and quality of common vetch mixtures with oat and triticale in two seeding ratios, Field Crops Research 99(2-3): 106-113.
- Maitra S, Hossain A, Brestic M, Skalicky M, Ondrisik P, et al. (2021) Intercropping low input agricultural strategy for food and environmental security. Agronomy 11(2): 3.
- Szumigalski AR and van Acker RC (2008) Land equivalent ratios, light interception, and water use in intercrops in the presence or absence of in-crop herbicides. Agronomy Journal 100(4): 1145-1154.
- Willey RW (1979) Intercropping-its importance and its research needs. Part 1.Competition and yield advantages. Field Crop Abstr 32(1-10): 193-205.
 
    
	
 
  
      ARTOAJ Home
 ARTOAJ Home 
 
                                





 
   
   
  
 
  
   
  











