Abstract
Autonomous maritime platforms operate in complex and potentially hazardous environments where the risk structure is not constant but varies depending on the system’s operating mode. The traditional DEMATEL approach assumes a fixed causeand- effect topology and does not consider the transformation of relationships between factors during transitions from normal to degraded or emergency modes. This paper proposes a dynamic scenario-oriented modification of the DEMATEL method for analyzing the evolution of the risk structure of autonomous maritime platforms. The methodology is based on constructing separate direct-relation matrices for normal, degraded, and emergency operating scenarios. For each scenario, total-relation matrices and causal indicators are calculated. New dynamic metrics are introduced, including a scenario transformation operator, a scenario instability index, and an integral dynamic criticality index. These indicators enable quantitative assessment of changes in causal dominance across operating modes. Numerical modeling demonstrates that autonomous decision-making mechanisms may dominate in normal mode, while emergency response and critical event management mechanisms become key drivers in crisis conditions. The results confirm that the risk topology of autonomous maritime platforms is inherently scenariodependent and should be modeled dynamically to support adaptive safety management strategies.
Keywords:Dynamic DEMATEL; Scenario-based modeling; Risk topology; Autonomous maritime platforms; Causal analysis; Operational regimes; System resilience
Introduction
Autonomous maritime platforms are complex cyber-physical systems in which technical, informational, and organizational components interact in real time. Unlike traditional maritime facilities, autonomous platforms are characterized by a high level of digitalization and automated decision-making, which creates a new risk structure.
The DEMATEL method is widely used to model cause-andeffect relationships and risk interdependencies in complex systems. Huang et al. [1] provide a comprehensive overview of risk assessment approaches in the maritime industry, highlighting the growing need for integrated and dynamic maritime transport safety modeling methods.
Recent studies show that the DEMATEL method has grown through its application to hybrid models and industry-specific models. The researchers Zhang et al. [2] developed a grey- DEMATEL method which they applied to manufacturing systems in their study. Zhou et al. [3] used DEMATEL together with STPAFTA to create a method which enabled them to measure risks in shale gas extraction operations. Similar hybridizations include fuzzy DEMATEL for sustainable supply chains [4], DEMATELFT- BN for life-cycle risk evaluation [5], and DEMATEL–ANP for governance complexity modeling [6].
In the context of safety-critical infrastructures, fuzzy and hybrid DEMATEL-based risk frameworks have been applied to gas pipeline shutdown operations [7], maritime collision accident evolution [8], and system dynamics integration for cost prediction [9]. Emerging applications also extend to ESG-driven logistics systems [10] and healthcare 4.0 monitoring environments [11].
Despite this broad methodological development, most existing applications treat the total-relation matrix as structurally invariant and focus on static causal configurations. Even when hybridized, DEMATEL is typically applied within a single operational context. The problem of explicitly modeling regime-dependent structural transformations of risk topology remains insufficiently addressed, particularly in autonomous maritime systems.
Most existing studies use static cause-and-effect analysis, including the classic DEMATEL method, which allows identifying drivers and dependent risk factors. However, this approach does not consider changes in the relationships between factors in different operating modes. In real conditions, the risk structure of an autonomous platform in normal mode can differ significantly from the risk structure in a degraded or emergency state.
The DEMATEL method has been widely applied for modeling causal relationships in complex systems and risk analysis. However, most existing applications assume structural invariance of the total-relation matrix and focus on static cause–effect configurations. In maritime and cyber-physical systems, where operational regimes dynamically evolve, such assumptions may lead to incomplete representation of risk interactions. This creates the need for a scenario-dependent extension of DEMATEL capable of capturing time-evolving causal structures.
The purpose of this work is to develop a dynamic scenariooriented DEMATEL approach that allows modeling the evolution of cause-and-effect relationships between risk factors of autonomous maritime platforms depending on the system’s operating mode.
Dynamic Scenario-Based DEMATEL Framework
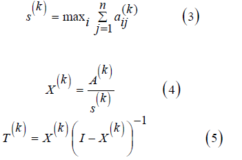
Scenario-dependent direct-relation matrices
A matrix of direct impacts is determined for each operational scenario:

where: 𝑘=1 - Normal mode, 𝑘=2 - Degraded mode, 𝑘=3 - Emergency mode

Scenario-based total-relation matrices
For each scenario:

Dynamic causal indicators

Scenario Transformation Operator
To quantitatively describe changes in the cause-and-effect structure between scenarios, a scenario transformation operator is introduced:

where:
k, l ∈{1, 2, 3,}, k ≠ l,T (k) − total − relation matrix for scenario k
Element
reflects the change in the influence of factor
i on factor j during the transition between modes.
For an aggregated assessment of the transformation, we introduce the matrix norm:

This indicator characterizes the intensity of structural restructuring of the risk system.
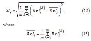
Scenario Instability Index
For each factor, the scenario instability index is determined:

Thus m=3 - number of scenarios, 𝑆𝐼𝑖 - sensitivity of factor 𝑖 to operational regime. The greater the value of 𝑆𝐼𝑖, the less stable the role of the factor in different modes of operation.
Dynamic Criticality Index
The integral assessment of the importance of a factor, considering its instability, is determined as:

Thus: high values of 𝑃𝑟𝑜𝑚𝑖 indicate the systemic significance of the factor; high values of 𝑆𝐼𝑖 indicate its sensitivity to changes in operating modes; high values of 𝐷𝐶𝐼𝑖 characterize the factor as strategically critical.
Discussion and Practical Implications
The proposed dynamic scenario-oriented DEMATEL
approach extends the classical static formulation of the problem
by introducing explicit modeling of structural changes in causeand-
effect relationships depending on the system’s operating
mode. Unlike traditional approaches, in which the matrix of
general influences T is considered invariant, in the proposed
model it is defined as a scenario-dependent operator T (k ) ,
which reflects the current operational state of the autonomous
platform. Introduction of the scenario transformation operator
allows quantitative comparison of risk topology between modes.
Frobenius norm
is used as an integral measure of the
intensity of structural restructuring of the system. High values
of this indicator indicate a significant redistribution of causal
dominance among risk factors. The scenario instability index 𝑆𝐼𝑖
allows identifying factors whose role is most sensitive to changes
in the operating mode. Such factors can act as hidden triggers for
the system to transition to a degraded or emergency state.
The integral indicator of dynamic criticality 𝐷𝐶𝐼𝑖 combines the structural significance of a factor with its mode instability, forming a more reasonable criterion for prioritizing safety management measures. The results of numerical modeling demonstrate a structural inversion of the causal role of factors: autonomous decision-making mechanisms dominate in normal mode, while in emergency mode, response and critical event management mechanisms become the key drivers. This confirms that the risk topology of autonomous maritime platforms is highly scenariodependent.
Conclusion
Main results of the study: a formalism of scenario-dependent matrices of direct and complete influences has been developed. A scenario transformation operator for quantitative analysis of structural changes has been proposed. A scenario instability index has been formed to assess the sensitivity of factors to operating modes. An integral indicator of dynamic criticality has been introduced to support management decisions. It has been shown that the causal dominance of factors varies depending on the operating scenario. The results obtained indicate that the use of static risk analysis methods can lead to an underestimation of structural transformations that occur during transitions between system operating modes. Considering the dynamic nature of cause-and-effect relationships allows for increased adaptability of safety management strategies and strengthened resilience of autonomous maritime platforms. Further research may be directed toward expanding the model in the direction of probabilistic or fuzzy DEMATEL, as well as integrating the approach with real-time systems for adaptive risk monitoring.
References
- Huang X, Wen Y, Zhang F, Han H, Huang Y, et al. (2023) A review on risk assessment methods for maritime transport. Ocean Engineering, 279: 114577.
- Zhang Y, Wang M, Wang L (2026) A grey-DEMATEL based collaborative quality value network model for nuclear power equipment intelligent manufacturing. Nuclear Engineering and Technology 58(3): 104010.
- Zhou Z, Mao H, Yang B, Sun S (2026) A novel method for risk identification and quantitative assessment in shale gas development phase based on STPA-FTA-DEMATEL. Unconventional Resources, 10: 100301.
- Isiaku L, Shishah W (2026) An analytical framework for uncovering risk interdependencies in sustainable supply chains using Fuzzy DEMATEL. Decision Analytics Journal 18: 100676.
- Niu D, Wang Y, Li X, Zhang Z, Li W, et al. (2026) Full Life Cycle Risk Evaluation of the Weiyan High-Speed Railway Based on the DEMATEL-FT-BN Method. KSCE Journal of Civil Engineering.
- Ragazou K, Sklavos G, Zournatzidou G, Sariannidis N (2025) Modeling governance innovation under esg pressure: A DEMATEL–ANP approach to institutional complexity. Journal of Open Innovation: Technology, Market, and Complexity 11(3): 100617.
- Gamal YA, Seghier MEAB, Abdelfattah AM, Ahmed AIA, Hussein M (2025) Fuzzy DEMATEL-Based Risk Assessment Framework for Natural Gas Pipeline Shutdown Operations. Journal of Pipeline Science and Engineering.
- Shi J, Liu Z, Feng Y, Wang X, Zhu H, et al. (2024) Evolutionary model and risk analysis of ship collision accidents based on complex networks and DEMATEL. Ocean Engineering 305: 117965.
- Alsugair AM, Al-Gahtani KS, Alsanabani NM, Hommadi GM, Alawshan MI (2024) An integrated DEMATEL and system dynamic model for project cost prediction. Heliyon 10(4) : e26166.
- Phan Q, Le T, Nguyen P, Thi Nguyen L, Vu T (2025) Toward sustainable logistics in emerging economies: Identifying ESG barriers using neutrosophic Delphi-DEMATEL model. Journal of Open Innovation: Technology, Market, and Complexity 11(3): 100601.
- Khot SB, Patil SS, Hu Y, Mulla JM (2026) Exploring barriers to metaverse-enabled healthcare 4.0 patient monitoring using interval-valued pythagorean fuzzy DEMATEL. Applied Soft Computing 192: 114737.

















