Cycling Effects Vertical Acceleration of The Centre Of Mass in Running in Triathletes
Stuart A Evans1*, Daniel A James1, David Rowlands2, James B Lee1 and Sam Gleadhill3
1SABEL Labs, Charles Darwin University, Australia
2School of Engineering, Griffith University, Australia
3National Institute of Fitness and Sport, Japan
Submission: September 22, 2020; Published: October 01, 2020
*Corresponding author: Stuart A Evans, SABEL Labs, College of Health and Human Science, Charles Darwin University, Darwin, 0810 Australia
How to cite this article: Stuart A Evans*, Daniel A James, David Rowlands, James B Lee and Sam Gleadhill. Cycling Effects Vertical Acceleration of The Centre Of Mass in Running in Triathletes. J Phy Fit Treatment & Sports. 2020; 8(2): 555737. DOI: 10.19080/JPFMTS.2020.08.555737
Abstract
Research related to the vertical acceleration of the body center of mass when running after cycling in triathlon is limited. So far, there has been little indication to suggest that vertical acceleration magnitudes are a trainable parameter in triathlon. The purpose of this pilot study was to determine deviations in the magnitude of vertical whole-body center of mass acceleration in running pre and post the influence of cycling using a sacrum-mounted accelerometer. This project utilized a single pilot study design involving a group of 5 recreational triathletes to understand the extent that vertical acceleration of the body center of mass changes when running after cycling. This method included the analysis of running specific sinusoidal curves and foot strike peaks pre and post 20 minutes of cycling at varied cadence. The findings suggest that running after cycling resulted in a 12.88% increase in vertical acceleration. The magnitude of acceleration was greatest in the immediate 30 seconds of running post cycling for both sinusoidal curvatures and foot strike peaks (12.83±2.36; 17.3±1.76, p<0.0001). These results could have practical relevance when monitoring postural control through reducing vertical center of mass acceleration magnitudes. Microtechnology, particularly accelerometers, may be a practical alternative to laboratory restricted methods for in field monitoring.
Keywords: Accelerometer; Triathlon; Centre of mass; Cycling; Transition; Cycle-to-run; Vertical oscillation
Abbreviations: CoM: Centre of Mass; RPE: Rate of Perceived Exertion; CV: Coefficient of Variation; VO: Vertical Oscillation
Introduction
Triathlon is a multi-stage event comprising three continuous and sequential disciplines, namely swim, cycle and run. The effective transition from each discipline requires the modification and adaptation of movement patterns. Contemporary literature describes the transition from cycling to running as multifaceted and complex [1-3] which elicits physiological, biomechanical, and sensorial adaptations [4]. This phenomenon has been attributed to the alteration in typical frequency from cycling to running (1.5-2.0-1-1.5Hz) [5] and/or the change from a non-weight-bearing activity to one associated with impact forces of two to three times body mass [2]. For example, [2] observed changes in running patterns post cycling including significant increases in stride rate, stride frequency and modifications in trunk gradient. These maladaptive changes may be related to alterations in biomechanics [6]. In this context, assisting a triathlete to transition effectively and efficiently into running post cycling has performance benefits. This is of importance as overall triathlon performance is highly correlated with economy of motion in cycling and running [7].
What constitutes an economical and biomechanical effective running technique post cycling has been the focus of considerable research. One maladaptive and intrinsic spatiotemporal factor is that of trunk biomechanics, vertical oscillation (VO) commonly known as the quantity that the torso moves vertically with each step. Like stride frequency and stride length, VO can be altered [8]. Advantages of lower VO typically equates to less stress on the lower body at impact, verified by Heise & Martin [9] as less economical runners exhibit greater total and net vertical impulse, indicating wasteful vertical motion. Acute interventions have shown that increasing vertical oscillation via greater whole body centre of mass (CoM) acceleration may compromise running economy [10]. The CoM can be defined as the point where the weighted position of mass is equally distributed. Though primarily a physics term, to most the CoM (sometimes referred to as the balance point) is the point where the weighted position of the distributed mass amounts to zero. This is the location to which a force may be applied to a cause linear (vertical) acceleration [11]. Consequently, the CoM represents the single best indicator of a body’s position
Vertical CoM displacement can vary as velocity changes [12], quantified by measurements of ground reaction force, segmental motion analysis or the sacral marking method. Within this context, increased vertical CoM acceleration can influence running economy [13] with successful endurance runners characterised by less vertical acceleration [14]. Despite these assertions, it is unclear how vertical accelerations of the CoM effects running characteristics after cycling in triathlon. The vertical CoM characteristics, suggested by quantifiable acceleration magnitudes, may vary at different timepoints when running ‘off the bike’. Based on this parameter and when viewed in the sagittal plane, the vertical accelerations of the CoM trace a smooth sinusoidal curve. Along with foot strike peaks at ground contact, these accelerations of the CoM may be quantified to access information and evaluate performance. Therefore, an investigation into the differences of vertical CoM acceleration magnitude is of interest and worthy of exploration. Notably current methods for determining vertical CoM acceleration in running post cycling are expensive, time consuming and are typically be constrained to a laboratory setting. The development of wireless sensors has created opportunity to obtain systematic data in real-time and in the field during biomechanical studies. These restrictions may be overcome using microtechnology. Inertial sensors, specifically accelerometers, are unobtrusive, lightweight, wireless, inexpensive and commercially available which makes them an attractive option for field-based research [15]. As lesser magnitudes of vertical acceleration of the whole-body CoM are an indicator of running performance, the clarification of changes to vertical CoM acceleration may be beneficial when considering race strategies and training interventions. Therefore, the purpose of this pilot study was to determine changes in the magnitude of vertical CoM acceleration in between running pre and post cycling in triathletes. This study was conducted in the triathlete’s natural training environment, replicating a characteristic training session.
Materials & Methods
The sample for this pilot study was one of convenience and consisted of five recreational triathletes (four males, one female) that were recruited through contact with a local triathlon community (mean±SD: age, 41.4±6.7 yr; height, 172.8±6.2cm; weight 72.2±3.1kg; competition experience, 5.6±3.7yr). Inclusion criteria comprised at least 12 months training experience in triathlon. Exclusion criteria included having any medical conditions that may adversely affect participation or health, and sensitivity to adhesive tape. Participants provided informed consent and were instructed to refrain from training 24hours prior to testing whilst maintaining their normal dietary schedules. The research was approved by the Charles Darwin University ethics committee (HREC 030317). Due to the small sample size, a pilot study research design was selected to determine changes in the magnitude of CoM acceleration in the vertical direction between running pre and post cycling, and that differences could be easily interpreted. All triathletes were evaluated at the same time of the day (between 0700–0900), under similar environmental conditions (20°-21°C, 60-65% relative humidity).
Two separate tests were conducted in the following order: (1), a 2 minute run at self-selected pace (control run) on an outdoor 400 m all-weather athletics track and; (2) 20 minutes of cycling (using a stationary cycle trainer) at varied cadence immediately followed by a 2 minute run at self-selected pace on the same athletics track (Figure 1). A period of 10 days separated the two tests. A duration of 2minutes (i.e., approximately 500-600 meters) was selected as mentioned elsewhere [16]. Participant’s used their own triathlon specific bicycle inclusive of integrated aerodynamic bars and gearing with the rear wheel of the bicycle mounted onto NEO Smart Tacx (Amsterdam, Netherlands) stationary cycle trainer, located next to the outdoor athletic track. Prior to commencement, participants performed a self-selected 10-minute warm-up on their bicycles at a self-selected pace and freely chosen pedaling cadence (measured in revolutions per minute, revmin⁻¹).

The 20-minute cycling protocol required triathletes to cycle at their self-selected pace for the first 5 minutes. From minutes 5–20, participants cycled at either: (1) self-selected pace; (2) 55- 60 revolutions per minute (revmin⁻¹); (3) 75-80 revmin⁻¹ and (4) 95-100 revmin⁻¹ for a total of 3 minutes per cadence condition. The order of completion for these four cadence conditions were randomized [1]. When a change of cadence was required at 3-minute intervals, participants were instructed to adjust the gearing in order to maintain the required cadence. Cadence was selected to control for pace due to its simplicity of measurement and that all participants had fitted cadence monitors on their bicycles. Cadence was also recorded via the NEO Smart Tax cycling application on an Apple iPhone (SE iOS 9.3, Apple Computer, Inc, California, USA). Ratings of perceived exertion (RPE) [17] were obtained at each change of cadence to limit the onset of fatigue as this could influence results. Participants were instructed to adapt their cycling body posture as they would during typical training conditions. This was defined as an aerodynamic position that comprised resting elbows on aero bars, arms inside the projected frontal body area, torso flat and head tucked low between shoulders [18]. Time was recorded using a Sportline 240 EcoSport manual stopwatch (Yonkers, New York City). To standardize the transition, yet replicate the demands of competition, a duration of <60 seconds was permitted to enable participants to dismount the bicycle and change footwear. On completion, participants were instructed to run for 2 minutes at self-selected pace.
A single tri-axial accelerometer (52 mm x 30 mm x 12 mm, mass 23 g; resolution 16-bit, full-scale range 16 g, sampling at 100 Hz: SABEL Labs, Darwin, Australia) was fixated between the L5 and S1 spinous process [19] using double sided elastic adhesive tape (Medtronic Australasia Pty Ltd, Macquarie, NSW). This position was chosen as it is the closest external position to the whole-body CoM when a person is standing in the anatomical position. The accelerometer was positioned to capture acceleration data where the longitudinal (vertical) axis aligned with X (Figure 1). Data was recorded continuously throughout testing before being transferred to a computer for analysis. The longitudinal axis was used as a reference point due to data appearing synodal [20]. Data was calibrated to produce a gravitational (g) scale output as mentioned elsewhere [21]. Raw accelerometry signals were saved and exported to Microsoft Excel (Microsoft Corporation Redmond, Washington DC, USA version 4.90.4, build 6470.27615) in ASCII format. The result of gravity acting on the sensor was obtained by low pass filtering the data. This vector was then removed from the raw data. A 6 Hz low pass 4th order Butterworth Filter was applied to remove high frequency noise in line with frequency calculation methods [22]. Data was compared and hand scored to detect sinusoidal curves and foot strike peaks in running pre and post cycling. Foot strike was identified in the anteroposterior axis using a previously reported methodology [23]. Stride was defined as consecutive foot-strike to foot-strike of the same foot. In order to attain a true reflection of steady state running, full length files were then parsed into 30 second epochs for 0-30s, 31-60s, 61-90s & 91-120s with accelerometer-derived data examined using the Analyseit statistical package (Leeds, United Kingdom, version 4.92). Accelerations were expressed in gravitational accelerations (g) and scaled into m/s². Vertical acceleration of the whole-body CoM was analysed and displayed as sinusoidal curves and foot strikes peaks. A representative comparison that consisted of randomly drawn participants’ sinusoidal curves in running pre and post cycling was selected and averaged over a 60 second period.
Statistical Analysis
A paired t-test with an alpha level set at 5% (p<0.05) were used to compare running pre and post cycling. A one-factor repeated measures ANOVA was selected to determine variability between the 30 second running epochs pre and post cycling. Threshold values for the interpretations of the correlation coefficient as an effect size were used and classified a 0.1-0.3 (small), >0.3- 0.5 (moderate), >0.5-0.7 (large), >0.7-0.9 (very large) and >0.9 (extremely large) [24]. Coefficient of variation (CV) was utilised to compare changeability between epochs with standard error of the measurement used as a method to how repeated measures would be distributed around the “true” score.
Result
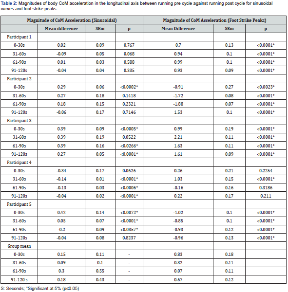
Twenty minutes of cycling significantly altered the magnitude of vertical whole-body CoM acceleration in running as observed for synodal curves at epochs 0-30s, 31-60s & 91-120s and all epochs for foot strike peaks (Table 1). Moderate effects and threshold values were found at the 61-90s epoch for sinusoidal curves. Coefficient of variation revealed a progressive increase in body CoM magnitudes until 91-120s whereby acceleration reduced with a corresponding small effect. The representative comparison of randomly drawn participants’ sinusoidal curves in running pre and post cycling was detected to have significant differences (Figure 2).

The mean difference and standard error of the measurement demonstrate that the accelerometer detected significant variability between participants for foot strike peaks of running pre and post cycling. Resultant foot strike peaks were identified and associated with a sharp data spike, reported separately for each participant (Figure 3). Of the five participants, all were found to be statistically significant with foot strike peaks at varying stages of the two-minute run compared to running with no influence of cycling. However, acceleration data displayed greater sinusoidal variability with one participant exhibiting no significant differences throughout, supported with minimal changes to both mean magnitudes and the standard error.


Discussion
This pilot study design involving a group of 5 recreational triathletes was conducted at the triathlete’s natural and familiar training environment to determine changes in the magnitude of vertical CoM acceleration in between running pre and post cycling in triathletes. This method included the analysis of running specific sinusoidal curves and foot strike peaks in the pre and post 20minutes of cycling at varied cadence. As such, it contributes new insight into the role of vertical acceleration of the whole-body CoM in running in triathlon and compliments extant triathlon and biomechanicalrelated literature proposing that lower oscillations (accelerations) of the body CoM have an important role in running. Importantly, the interpretations of vertical whole-body CoM acceleration may be beneficial when considering training interventions.
This present study focused on CoM acceleration-derived measures to examine differences in short-distance running kinematics pre and post cycling. From the results it was clear that when measured at different epochs, the addition of 20 minutes of cycling significantly increased the magnitude of vertical CoM acceleration through foot strike peaks, resulting in a 12.88% increase. In addition, sinusoidal curves were greater (43-55%) from epoch 60-120 seconds when running ‘off the bike’. Accordingly, accelerometer-based results establish that modifications to foot strike peaks and sinusoidal curves in a simulated training environment may be inferred. The underlying mechanism of cycling posture could be a primary determinant of altered vertical CoM acceleration when running. Along this line, the possibility of trunk muscle fatigue cannot be ruled out. The onset of fatigue could destabilise the trunk during cycling and cause inefficient movement patterns leading to increases in longitudinal CoM acceleration.
Whereas [25] observed increases in mediolateral acceleration and greater postural sway, others added that low levels of core muscle strength can cause greater upper movement [26]. In this sense greater acceleration magnitudes in both mediolateral and vertical directions lessen running economy. This warrants the need to quantify postural deviations in both running and cycling to determine the influence of individual CoM acceleration magnitudes. It is unknown whether these trends would continue over entire race distances, and extended durations of monitoring may be an area for future investigation.
The results of this study show that when running is intersected with cycling, significant differences occur to the vertical acceleration of the body’s CoM in both sinusoidal curves and foot strike peaks. It is commonly stated that the bike-to-run transition in triathlon competition is challenging because different movement patterns are used between the two activities. The differences to sinusoidal curves are similar to those previously reported by Patterson and Caulfield [27]. Although CoM acceleration magnitude is not a primary measure of muscle efficiency or neuromuscular change, it is a viable indicator of running economy. Therefore, sinusoidal magnitudes may be associated to vertical oscillation and a decrease in oscillation may slightly improve running economy if the absolute height of the CoM remains constant [28].
Specific to the sinusoidal curvatures between participants, the timing of changes throughout the epochs was variable for four participants (Table 2). Notably, one participant displayed minimal changes between the two conditions which be an indicator of technique and postural control causing less variance to the sinusoidal pattern. Given that postural stability is a necessity to preserve energy [29], greater acceleration magnitudes could be due to a failure to maintain postural control. Therefore, it is assumed that four of the participants increased their trunk lean when running after cycling and thus increased their sinusoidal pattern compared to the sole participant who presumably maintained less. Consequently, we may speculate that lesser magnitudes of vertical acceleration are needed when transitioning from cycle to run.
Any deviations from what an individual’s accustomed running pattern is will likely cause biomechanical inadequacies [22]. These differences could represent a variation to trunk gradient, affirmed by Gottschall & Palmer [30] in that an increased trunk forward lean may be a possible detriment to running post cycling. Specifically, likenesses can be drawn with [16] who demonstrated changes in running post cycling during the first 500m of a 3km run. The authors noted these changes based on cadences of 80 revminˉ¹ and 100 revminˉ¹ which is like the presented results. This suggests that vertical CoM acceleration is a modifiable parameter, supported by Eriksson et al. [31] who established that VO could be successfully lowered using visual and auditory feedback.
It is challenging to understand the exact influence of a single parameter on overall vertical acceleration of the CoM due to the multivariate nature of cycling. In fact, mechanical parameters such as changing seat configuration contributes to modify the bicyclerider geometry, which influences muscle force and power generation [32]. From this, upper body orientation influences leg muscle contribution when cycling and can vary greatly between individuals. The seat-tube angle could be a combined effective influencer of frame geometry and possibly will contribute to the variations to vertical CoM acceleration.
This research pilot study was limited in sample size in order to assess the technology against what can be a challenging and complex movement. That said, accelerometry has its own limitations: perhaps most obviously, acceleration is an indicator of physical activity, and accelerometers register more movement (counts) during some activities (e.g. walking) than others (e.g. cycling). Nevertheless, the obtainment and analytical procedures for the magnitude of vertical CoM accelerations were based on the research standard for capturing acceleration caused by body movement [33].
Conclusion
In conclusion, this study contributes to the limited literature on the magnitude of vertical CoM acceleration in running post cycling in triathlon. The strategy for using accelerometry combines a novel approach with a comparatively new sport. From an applied perspective, vertical CoM acceleration was altered in short-term running post cycling compared to isolated running when viewed as sinusoidal curves and foot strike peaks. Given that accelerometry has the capability to detect a time-series of events and that triathletes need to alter posture from a near-horizontal position (cycling) to a near vertical position (running), the small, lightweight and unobtrusive accelerometer has potential for use in practical settings. This has everyday implications as the collection of data from an accelerometer may provide real-world opportunities for in the field race environments as accelerometry is scalable and objective.
References
- Andrew R Chapman, Bill Vicenzino, Peter Blanch, Steve Dowlan, Paul W Hodges (2008) Does cycling effect motor coordination of the leg during running in elite triathletes? J Sci Med Sp 11(4): 371-380.
- Hausswirth C, Bigard AX, Guezennec CY (1997) Relationships between running mechanics and energy cost of running at the end of a triathlon and a marathon. Int J Sports Med 18(5): 330-339.
- Guezennec CY, Vallier JM, Bigard AX (1996) Increase in energy-cost of running at the end of a triathlon. Eur J Appl Physiol 73(5): 440-445.
- Millet GP, Vleck VE (2000) Physiological and biomechanical adaptations to the cycle to run transition in Olympic triathlon: review and practical recommendations for training. Bri J Sp Med 34(5): 384-390.
- Quigley E, Richards JG (1996) The effects of cycling on running mechanics. J App Bio 12: 470-479.
- Candau R, Belli A, Millet G, Georges D, Barbier B (1998) Energy cost and running mechanics during a treadmill run to voluntary exhaustion in humans. Eur J Appl Physiol 77: 479-485.
- Hue O, Le Gallais D, Chollet D, Boussana A, Préfaut C (1998) The influence of prior cycling on biomechanical and cardiorespiratory response profiles during running in triathletes. Euro J App Phy Occ Phy 77: 98-105.
- Moore I (2016) Is there an economical running technique? A review of modifiable biomechanical factors affecting running economy. Sp Med 46: 793-807.
- Heise G, Martin P (2011) Are variations in running economy in humans associated with ground reaction force characteristics? Eur J Appl Physiol 84(5): 438-442.
- Tseh W, Caputo JL, Morgan DW (2008) Influence of gait manipulation on running economy in female distance runners. J Sports Sci Med 7(1): 191-195.
- Tesio L, Viviana R (2019) The motion of body center of mass during walking: a review oriented to clinical applications. Front Neuro 10: 999
- Farley C, Ferris D (1998) Biomechanics of walking and running: centre of mass movements to muscle action. Ex Sp Sci Rev 26 253-285.
- Nummela A, Keranen T, Mikkelsson LO (2007) Factors related to top running speed and economy. Int J Sports Med 28(8): 655-661.
- Cavanagh PR, Williams KR (1982) The effect of stride length variation on oxygen uptake during distance running. Med Sci Sp 14(1): 30-35.
- Neville J, Wixted A, Rowlands D, et el. (2010) Accelerometers: an underutilized resource in sports Monitoring. In Proceedings of the Sixth International Conference on Intelligent Sensors, Sensor Networks and Information Processing. Brisbane, Australia.
- Bernard T, Vercruyssen F, Grego F, Hausswirth C, Leperset R, et al. (2003) Effect of cycling cadence on subsequent 3 km running performance in well trained triathletes. Bri J Sp Med 37(2): 154-159.
- Borg G (1998) Borg's perceived exertion and pain scales. Human Kinetics: Illinois.
- Bassett D, Kyle C, Passfield L, Broker JP, Burke ER (1999) Comparing cycling world hour records, 1967-1996 modeling with empirical data. Med Sci Sports Exerc 31(11): 1665-1676.
- James DA, Leadbetter RI, Neeli MR, Brendan J, Burkett (2011) Centre for Healthy Activities Sport and Exercise (CHASE), University of the Sunshine Coast, Maroochydore, Queensland, Australia, An integrated swimming monitoring system for the biomechanical analysis of swimming strokes. Sp Tech 141-150.
- Kavanagh JJ, Morrison S, James DA, Rod Barrett (2006) Reliability of segmental accelerations measured using a new wireless gait analysis system. J Biom 39(15): 2863-2872.
- Lee JB, Wheeler K, James DA (2019) Wearable sensors in sport: a practical guide to usage and implementation. Springer: Singapore.
- Lai A, James DA, Hayes JP (2003) Semi-automatic calibration technique using six inertial frames of reference. In: D Abbot, K Eshraghia, CA Musca, D Pavlidis, N Weste (Eds.), Proceedings of SPIE microelectronics: design, technology, and packaging, Perth, Australia, 5274: 531-542.
- Lee JB, Mellifont R, Burkett B (2010) The use of a single inertial sensor to identify stride, step, and stance durations of running gait. J Sci Med Spt 13(2): 559-563.
- Hopkins W, Marshall S, Batterham A, Juri Hanin (2009) Progressive statistics for studies in sports medicine and exercise science. Med Sci Sp Ex 41(1): 3-13.
- Winter SC, Gorden S, Brice SM (2018) Implementing trunk endurance strengthening exercises in triathletes may help with reducing CoM magnitudes in post cycle running. J Phy Fit Treat Sports 4.
- Rannama I, Pedak K, Bazanov B (2017) Cycling specific postural stability during incremental exercise: the relationship with cyclists functional movement screen score. J Hum Sp 12: 83-95.
- Patterson MR, Caulfield B (2011) Using a shoe mounted tri-axial accelerometer to detect kinematic changes during stiff ankle walking. In: Annual International Conference of the IEEE Engineering in Medicine and Biology Society. IEEE Engineering in Medicine and Biology Society, Boston, Massachusetts. 2011: 3492-3495.
- Halvorsen K, Eriksson M, Gullstrand L (2012) Acute effects of reducing vertical displacement and step frequency on running economy. J St Cond Res 26(8): 2065-2070.
- Novacheck T (1998) The biomechanics of running. Gait Post 7(1): 77-95.
- Gottschall J, Palmer B (2000) Acute effects of cycling on running step length and step frequency. J Str Con Res 14: 97-100.
- Eriksson M, Halvorsen K, Gullstrand L (2012) Immediate effect of visual and auditory feedback to control the running mechanics of well-trained athletes. J Sports Sci 29(3): 253-262.
- Bini RR, Carpes FP (2014) The biomechanics of cycling. In: Eston R, Rowlands A, Ingledew D, (Eds.), Springer, Switzerland.
- Eston R, Rowlands A, Ingledew D (1998) Validity of heart rate, pedometry, and accelerometry for predicting the energy cost of children’s activities. J Appl Phy 84(1): 362-371.

















