Abstract
Lα,Lβ and Lβ XRF cross-sections have been estimated for 62Sm at excitation energy 10keV. The theoretical values of the cross-sections were calculated using different atomic parameters like photoionization cross-sections, fluorescence yields, fractional X-ray emission rates, Coster– Kronig transitions etc. Present work has been carried out by using two models- Dirac-Hartree-Slater (DHS) and Dirac-Fock (DF) to estimate the theoretical LXRF cross section of the element Sm. Theoretical values plays a vital role in checking reliability of experimental results using EDXRF technique. DF model-based estimation of LXRF cross-section Lα and Lβ found smaller and that of Lβ found higher than DHF model. From a forensic perspective, accurate L XRF cross-sections values enhance the sensitivity and quantitative reliability of trace elemental analysis, enabling precise identification of samarium in forensic samples such as soils, glass fragments, pigments, electronic residues, and industrial dust. Such model-dependent variations are forensically significant, as they help minimize systematic uncertainties in elemental quantification and improve source attribution, material discrimination, and evidential interpretation in forensic investigations.
Keywords: X-ray Fluorescence; EDXRF; L-XRF; Cross-Sections; Photoionization
Abbreviations: EDXRF: Energy Dispersive X-ray Fluorescence; XRF: X-ray Fluorescence; DHS: Dirac-Hartree-Slater; DF: Dirac-Fock
Introduction
Accurate knowledge of L X-ray fluorescence (LXRF) crosssections for various elements at different excitation photon energies is of great importance because of their extensive applications in atomic, molecular, and nuclear physics. Energy dispersive X-ray fluorescence (EDXRF) is a powerful non-destructive analytical technique that has been widely employed for both qualitative and quantitative multi-elemental analysis in diverse disciplines such as geology, biology, environmental science, forensic science, petroleum industries, and medicine. In these applications, the reliability and accuracy of elemental quantification strongly depend on the precision of fundamental parameters, including photoionization cross-sections, fluorescence yields, and X-ray emission rates. Thus, the measurement of LXRF cross-sections plays a vital role in both basic and applied research.
The X-ray fluorescence cross-section is defined as the product of the photoionization cross-section, fluorescence yield, and fractional X-ray emission rates at a particular excitation energy and can be estimated from well-established tabulated databases. A vacancy in the inner shell of an atom may be created by several processes, such as photoionization, electron impact, or radioactive decay. Among these, photoionization is the most common method used in laboratory-based XRF studies. In this process, an incident photon with energy greater than the binding energy of the electron ejects a bound electron into the continuum state, thereby producing an inner-shell vacancy. This vacancy is subsequently filled through either radiative or non-radiative de-excitation. In radiative transitions, an electron from a higher energy level fills the vacancy and emits a characteristic X-ray photon. In non radiative transitions, instead of emitting an X-ray photon, an electron from a higher shell is ejected, which is called an Auger electron. When one of the two final-state vacancies resulting from the non-radiative decay is created in a different sub-shell of the same principal shell as the original vacancy, the process is known as a Coster–Kronig (CK) transition.
While the de-excitation scheme of a single K-shell vacancy is relatively simple—typically involving a straightforward radiative transition—the structure of the L and M shells is more complex due to the presence of multiple closely spaced sub-shells (L₁, L₂, L₃ and M₁–M₅). This complexity gives rise to multiple competing decay channels, including a high probability of CK transitions. Especially in the case of the L₃ sub-shell, the estimation of X-ray production cross-sections becomes challenging because of the interplay between radiative and non-radiative transitions. The accurate determination of these cross-sections is crucial for understanding electron-correlation effects, validating atomic models, and improving theoretical calculations of atomic parameters.
Moreover, the precise values of LXRF cross-sections are essential for correcting matrix effects in EDXRF analysis. Matrix effects, such as self-absorption and secondary enhancement, can significantly influence the measured X-ray intensities, thereby affecting the accuracy of quantitative analysis. Reliable crosssection data allow for accurate modeling of these effects, leading to more trustworthy results in practical applications. Additionally, LXRF cross-section measurements serve as sensitive probes for studying atomic structure, subshell coupling schemes, and relativistic effects, particularly in medium- and high-Z elements. These measurements also contribute to refining databases of fundamental parameters, which are extensively used in Monte Carlo simulations and spectrum fitting software employed in modern XRF systems.
Therefore, the availability of accurate and experimentally verified LXRF cross-section data is indispensable for enabling precise non-destructive analysis of various types of samples using EDXRF. Such data not only enhances the analytical capabilities of the technique but also contribute to the advancement of atomic physics by providing experimental benchmarks for theoretical models. Continued research in this area is necessary to reduce the uncertainties in fundamental parameters, especially for elements with atomic numbers in the intermediate to high range, where discrepancies between theoretical predictions and experimental results are often observed.
Earlier, Puri [1], reported the theoretical X-ray production cross-sections of bromine (Br) using two widely accepted atomic models—Dirac–Hartree–Slater (DHS) and Dirac–Fock (DF). Theoretical evaluation of X-ray production cross-sections depends critically on several fundamental atomic parameters, which serve as essential inputs for the calculations. These include photoionization cross-sections, as reported by McMaster et al. [2], Storm and Israel [3], and Scofield [4]; fluorescence yields, as reported by Krause [5], Puri et al. [6], and Campbell [7]; and fractional X-ray emission rates, as given by Bambynek et al. [8] and Scofield [9]. The accurate selection of these parameters is crucial because any uncertainty in their values directly propagates into the calculated cross-sections, thereby affecting the reliability of theoretical predictions.
In the present work, a theoretical estimation of L X-ray fluorescence (LXRF) production cross-sections for 62Sm (Z = 62) at an excitation photon energy of 10 keV has been carried out. The selected energy lies above the L-absorption edge of samarium, ensuring efficient photoionization of the L-shell electrons and measurable emission of characteristic L X-rays. The analysis includes the calculation of three prominent L-series groups Lα,Lβ and Lβ each corresponding to electronic transitions from higher sub-shells to the L₃, L₂, and L₁ sub-shells, respectively. For these calculations, the fluorescence yields and Coster–Kronig (CK) transition probabilities reported by Puri et al. [6] and Campbell [7] have been used, as these are considered among the most reliable and widely accepted datasets for L-shell parameters.
Furthermore, two independent sets of fractional X-ray emission rates derived from different theoretical models were employed to assess the model dependence of the calculated crosssections. The first set is based on the Dirac–Hartree–Slater (DHS) model, reported by Scofield [9], which incorporates relativistic corrections within the self-consistent field approximation using a statistical exchange potential. The second set is based on the Dirac–Fock (DF) model, reported by Campbell and Wang [10], which provides a more rigorous treatment of electron–electron interactions and exchange effects by solving the Dirac equation for each electron with explicit inclusion of electron correlation.
Several earlier studies have reported experimental and theoretical L X-ray production cross-sections for rare earth elements including samarium, such as those by Silhadi et al. [11], Miranda et al. [12], and Bansal et al. [13], which provide valuable data for comparison and validation of the present results. Comparing the results obtained using DHS and DF models allows evaluation of the sensitivity of theoretical LXRF cross-sections to the choice of atomic models and highlights any systematic deviations between the two approaches. The calculated data obtained in this study represents a new set of theoretical LXRF production cross-sections for samarium (62Sm) at 10 keV excitation energy. These values are expected to serve as a useful reference for experimental studies, aid in improving the accuracy of quantitative energy dispersive X-ray fluorescence (EDXRF) analysis and contribute to the refinement of fundamental atomic parameter databases used in various spectroscopic applications.
Accurate LXRF cross-sections are crucial in forensic science for reliable elemental identification and quantification using EDXRF. Samarium (62Sm), when present at trace levels, can act as a distinctive marker in forensic samples such as soils, glass fragments, pigments, and industrial residues. Precise Lα,Lβ and Lβ cross-section data improve the accuracy of concentration measurements by minimizing uncertainties due to matrix effects. Validated theoretical values also help in assessing the reliability of experimental EDXRF results. This enhances material discrimination and source attribution in forensic investigations. Consequently, LXRF cross-section data of 62Sm strengthens the evidential value of non-destructive forensic analyses.
Theoretical L XRF Cross-Sections
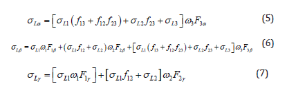
Theoretical values of the Li (i = α, β, γ) X-ray fluorescence cross- sections at the given excitation energy has been calculated using the following relations:
where and are the subshell photoionization cross- sections of the elements at given excitation energy taken from the standard data table (Scofield 1973) [4]; and are the L-subshell fluorescence yields and and are the Coster-kronig transition probabilities. Two different sets of and were taken for theoretical calculation of L XRF cross-sections. First set is the interpolated predictions of the Dirac-Hartree-Slater version of the independent particle model by Campbell [7], with recommended values from Chen et al. [14] and LLNL (Lawrence Livermore National Laboratory) [15].
The second set is taken from the data based on the Relativistic Dirac-Hartree-Slater (RDHS) model given by Puri et al. [6]. Fnk (F3l, F3α, F1β, F2β, F3β, F1γ, F2γ) are the fractions of the radiative transition probabilities of the subshells L1, L2 and L3 contained in the Kth spectral line. For example F3α is the fraction of the L X-rays originating from the L3, transitions that contribute to the Lα peak.’
where F3α is the sum of the radiative transition rate which contribute to the Lα line associated with the hole filling in the L3 subshell, Γ3 is the theoretical total radiative transition rate of the L subshell, Γ(M4-L3) is the radiative transition rate from the M4 shell to the L3 shell and Γ(M5-L3) is the radiative transition rate from the M5 shell to the L3 shell.
The radiative transition rates Γ were calculated using two
different atomic models to improve reliability and to check for
model-dependence:
1. The Dirac–Hartree–Slater (DHS) model of Scofield
(1974) [9], which assumes the same central potential for the
initial and final states of the atom undergoing the transition.
2. The Dirac–Fock (DF) model of Campbell and Wang
(1989) [10], which uses different initial and final atomic
Hamiltonians, with each wave function constructed from the
relevant self-consistent single-particle solutions.
All other Fnx are similarly defined.
Atomic transitions correspond to different lines are as follows:
By using a constant function for the background radiation and Gaussian function, various L X-ray peaks can be analysed by using software Origin Pro 8.5.
Results and Discussion
The values of the L X-ray fluorescence cross-sections, as listed in Tables 2, has been calculated from the theoretical subshell photoionization cross-sections and two different sets of fluorescence yields ωi and Coster-Kronig transitions probabilities fij as shown in Table 1.



The values of the L X-ray fluorescence (LXRF) cross-sections for 62Sm at an excitation photon energy of 10 keV have been calculated from the theoretical subshell photoionisation crosssections and two different sets of L-subshell fluorescence yields (ωi) and Coster–Kronig (CK) transition probabilities (fij). The photoionization cross-sections were taken from Scofield [4], while the two datasets for ωi and fij were taken from Campbell [7], and Puri et al. [6]. The numerical values of these fundamental atomic parameters are listed in Table 1. As can be seen, both datasets predict nearly identical fluorescence yields, while noticeable differences exist in the CK transition probabilities. In particular, Puri’s dataset shows higher values of f13 and f23 compared to Campbell’s data, while f12 is also slightly larger. Since CK transitions redistribute the initial vacancies created by photoionization among the three L-subshells, higher fij values tend to enhance the relative population of the L3 subshell, thereby increasing the probability of emission of Lα and Lβ lines. This effect is clearly reflected in the final results.
The calculated LXRF production cross-sections obtained using these two parameters sets and applying both Dirac– Hartree–Slater (DHS) and Dirac–Fock (DF) theoretical models are presented in Table 2. Among the three-line groups, Lα shows the highest cross-section values (i.e. 3479 - 3640 barns/atom), followed by Lβ (3321–3375 barns/atom) and Lγ (527–542 barns/atom). When using the same atomic parameter dataset, the DHS model consistently gives slightly higher values than the DF model.
With Campbell’s data, Lα is 3509.203 barns/atom using DHS and 3479.247 barns/atom using DF, and with Puri’s data the values are 3640.384 barns/atom and 3609.307 barns/atom respectively. The percentage variation between DHS and DF values, which was found to be about 0.8–0.9% for Lα , only about 0.02–0.04% for Lβ , and about 1.7–1.8% for Lγ . These low percentage differences demonstrate that the calculated results are stable and only weakly dependent on the choice of the theoretical model. The slightly larger variation seen for Lγ is likely due to its lower absolute intensity, which makes it more sensitive to small changes in the transition probabilities.
The comparison of Campbell and Puri datasets also reveals a systematic difference in the predicted cross-sections as shown in Table 3. The use of Puri’s parameters leads to slightly higher values than Campbell’s, which can be directly correlated with the higher f13 and f23 probabilities in Puri’s dataset that enhance the transfer of vacancies into the L3 subshell, resulting in stronger Lα and Lβ intensities. The difference between Campbell and Puri sets is about 3.7% for Lα , 1.5% for Lβ , and about 1% for Lγ . This observation highlights the sensitivity of the calculated LXRF cross-sections to the choice of fundamental atomic parameters, especially the CK transition probabilities.
To validate the reliability of the present theoretical results, they were compared with previously reported theoretical and experimental values for samarium available in the literature. Miranda et al. (2018) [12] measured Lα and Lβ production cross-sections of Sm using PIXE at similar excitation energies and reported values of about 3400 barns/atom, which is in close agreement with the present calculated values based on Campbell’s dataset (3509 barns/atom for Lα , 3323 barns/atom for Lβ . Similarly, Silhadi et al. [11], reported Lα production cross-sections of about 3600 barns/atom using ion-induced XRF, which closely matches the present results obtained using Puri’s dataset (3640 barns/atom). The good agreement of the present theoretical data with these experimental studies confirms the validity and reliability of the adopted approach. The small deviations between theory and experiment are within the typical uncertainty range (5–10%) of experimental XRF cross-section measurements.
Overall, the present results provide a consistent and accurate new set of theoretical LXRF production cross-sections for samarium at 10 keV. The very small variation between DHS and DF models confirms the robustness of the computational approach, while the close agreement with published experimental results demonstrates the reliability of the chosen atomic parameters. These theoretical cross-section values can therefore serve as valuable reference data for improving the accuracy of quantitative analysis of samarium using energy-dispersive X-ray fluorescence (EDXRF) and synchrotron radiation-based techniques, and they contribute to the refinement of fundamental atomic parameter databases for rare-earth elements. In brief, accurate LXRF crosssections of 62Sm enhance the reliability of EDXRF in forensic investigations by enabling precise trace element detection. This supports effective material discrimination, source attribution, and strengthens the evidential value of non-destructive forensic analysis.
Conclusions
In this study, theoretical L X-ray fluorescence (LXRF) production cross-sections of 62Sm at 10 keV excitation energy were evaluated using Scofield’s photoionization cross-sections along with fluorescence yield and Coster–Kronig data from Campbell and Puri et al. [6,7], applying both Dirac–Hartree– Slater and Dirac–Fock models. The results showed that Lα lines possess the highest cross-sections, followed by Lβ and Lγ , with only minor variation between the two theoretical models, and good agreement with previously reported experimental values, confirming the reliability of the calculations. These findings are significant because samarium is a technologically important rare-earth element widely used in permanent magnets, nuclear reactor control rods, phosphors, and advanced electronic and optical materials, where precise elemental analysis is essential. The generated cross-section data will serve as reliable reference values for enhancing the accuracy and sensitivity of energy dispersive X-ray fluorescence (EDXRF) analysis, enabling improved quantification of samarium in complex multi-elemental samples. From a forensic standpoint, the reliable LXRF crosssection data of 62Sm obtained in this study enhances the accuracy of EDXRF-based trace elemental analysis of evidentiary materials. The close agreement between DHS- and DF-based calculations and experimental data strengthens confidence in quantitative forensic measurements. Consequently, these results improve the evidential reliability of non-destructive forensic investigations involving complex multi-elemental samples.
References
- Puri S (2015) Theoretical X-ray production cross sections at incident photon energies across Li (i=1–3) absorption edges of Br. AIP Conference Proceedings 1675(1): 030089.
- McMaster WH, Kerr Del Grande N, Mallett JH, Hubbell JH (1969) Compilation of X-ray Cross Sections. Lawrence Radiation Laboratory Report UCRL-50174, Lawrence Radiation Laboratory, Livermore, CA.
- Storm E, Israel HI (1970) Photon cross sections from 1 keV to 100 MeV for elements Z = 1 to Z = 100. Nuclear Data Tables A7, 565-681.
- Scofield JH (1973) Theoretical Photoionization Cross Sections from 1 to 1500 keV. Lawrence Livermore National Laboratory Report UCRL-51326.
- Krause MO (1979) Atomic radiative and radiationless yields for K and L shells. Journal of Physical and Chemical Reference Data, 8(2): 307-327.
- Puri S, Mehta D, Chand B, Singh N, Trehan PN (1993) L-shell fluorescence yields and Coster–Kronig transition probabilities for the elements with 25 ≤ Z ≤ 96. X-Ray Spectrometry 22(6): 358-361.
- Campbell JL (2003) Fluorescence yields and Coster–Kronig probabilities for the atomic L subshells. Atomic Data and Nuclear Data Tables 85(2): 291-315.
- Bambynek W, Crasemann B, Fink RW, Freund HU, Mark H, et al. (1972) X-ray fluorescence yields, Auger and Coster-Kronig transition probabilities. Reviews of Modern Physics 44(4): 716-813.
- Scofield JH (1974) Relativistic Hartree-Slater values for K and L X-ray emission rates. Atomic Data and Nuclear Data Tables, 14(2): 121-137.
- Campbell JL, Wang JX (1989) Interpolated Dirac–Fock values of L-subshell X-ray emission rates including overlap and exchange effects. Atomic Data and Nuclear Data Tables 43(3): 281-291.
- Silhadi H, Ouziane S, Fazinic S, Provatas G (2020) L-shell X-ray production cross sections of Sm and Yb induced by carbon ions. Nuclear Instruments and Methods in Physics Research B 474: 15-22.
- Miranda J, Murillo G, Méndez B, Villaseñor P (2018) Measurement of L X-ray production cross sections of Ce, Nd, Sm, Eu, Gd, and Dy. Nuclear Instruments and Methods in Physics Research B 434: 93-96.
- Bansal H, et al. (2017) Experimental L sub-shell fluorescence cross sections for rare earth elements. Radiation Physics and Chemistry 141: 258-263.
- Chen MH, Crasemann B, Huang K, Aoyagi M, Mark H (1977) Theoretical L-shell Coster-Kronig energies. Atomic Data and Nuclear Data Tables 19(2): 97-151.
- Perkins ST, Cullen DE, Chen MH, Hubbell JH, Rathkopf J, Scofield JH (1991) Tables and graphs of atomic subshell and relaxation data derived from the LLNL Evaluated Atomic Data Library (EADL), Z = 1–100. Lawrence Livermore National Laboratory Report UCRL-50400, 30

















