How the Impact of Electromagnetic Fields on Plants Can Greatly Increase Severity of and Even Occurrence of “Wildfires”: A Four-Part Structure
Martin L Pall*
Professor Emeritus, School of Molecular Biosciences, Washington State University, Pullman, WA 99164, USA
Submission: February 14, 2024; Published: March 07, 2024
*Corresponding author: Martin L Pall, Professor Emeritus, School of Molecular Biosciences, Washington State University, Pullman, WA 99164, USA Email id: “mailto:martin_pall@wsu.edu”
How to cite this article: Martin L Pall*. How the Impact of Electromagnetic Fields on Plants Can Greatly Increase Severity of and Even Occurrence of “Wildfires”: A Four-Part Structure. Ecol Conserv Sci. 2024; 4(2): 555631. DOI:10.19080/ECOA.2024.04.555631
Abstract
Low growing plants near buildings and electric powerlines often burn explosively at extreme temperatures, leaving a light gray powder whereas plants away from such sources of electromagnetic fields (EMFs) burn more normally, leaving slightly burned and/or charred materials. It is argued here that EMFs trigger a four-part mechanism producing this unusual pattern. Electronically generated EMFs impact plants via activation of voltage-controlled calcium channels, causing increases in plant terpenes and three other classes of volatiles (polyamines, lipid peroxidation volatiles and methyl jasmonate) and large increases in peroxynitrite and reactive free radicals. Four processes ensue: 1. The volatile terpenes make plants much more flammable. 2. Each of the four classes of volatiles accumulate in the air under very low wind conditions, and the heavy volatile-containing air spreads over the ground, selectively producing plasma membrane depolarization in low growing plants and parts of plants. Depolarization activates the same calcium channels activated by EMFs, selectively spreading and amplifying EMF-like effects to these low growing plants. 3. The terpenes react with free radicals and O2 to produce three classes of explosive terpene-derived chemicals, hydroperoxides, nitrate esters and nitro compounds. Accordingly, the explosive burning of these three classes of terpene derived chemicals in low growing plants produces very rapidly advancing low level firestorms which when they hit adjacent buildings also causes the buildings to burn at extremely high temperatures, leaving a light gray powder. 4. Terpene hydroperoxides because of their low thermostability may cause spontaneous combustion. Appropriate conditions for spontaneous combustion may be limited to plant materials in depressions in the ground. Sixteen fire observations are inconsistent with climate change being the sole cause of fire severity but are consistent with the proposed mechanism. Wind records from four large explosive US fires were examined and were found to be consistent with prediction. High voltage powerline roles in fires may be caused by powerline dirty electricity produced EMFs rather than poor maintenance as has previously been claimed.
Keywords: Calcium effects on plants; NO & Peroxynitrite-derived hydroxyl; carbonate; NO2 radicals; Autoxidation/peroxidation chain reactions; Terpenes and other plant volatiles; How high-level protective mechanisms can turn pathophysiological; Terpene-derived hydroperoxide; Nitrate Ester & Nitro Explosives
Abbreviations: EMF: Electromagnetic Fields; TNT: Trinitrotoluene DNT: Dinitrotoluene; VGCC: Voltage Gated Calcium Channels; CFL: Compact Fluorescent Lighting
Introduction
The conventional wisdom is that the predominant cause of increasingly severe “wildfires” throughout the world is climate change. This paper does not question that climate change is an important cause but does question whether it is the only mechanism that is important in determining the severity and properties of these fires even whether it is the most important cause of the severity of many fires, particularly where people live. Many of the “wildfires” have impacted mainly human occupied areas, where human activities may have large local roles. Forest fires often sweep through small towns with stunning rapidity including explosive burning, where the availability of domestic water supplies might be expected to slow such burning. Repeated photographs and videos of “wildfires” have shown low growing plants and adjacent homes and other buildings have burnt at very high temperatures to a light gray powder but often trees and low growing plants away from buildings and electric power lines are only modestly affected (Camp Fire Now 135,000 acres [1]; Santa Rosa Fire [2] ; PG&E power lines [3], insurer says [4]: The Camp Fire; Explosive fire again threatens Paradise, town devastated by California’s deadliest blaze [5]; Colorado wildfire: ThreeT feared dead and hundreds of homes destroyed as Biden declares disaster; Australia bushfires [6]: Kinglake, Victoria, Australia; New Mexico Fire [7]; Colorado wildfire snuffs over 500 homes [8]; Drone Footage of Phoenix, Oregon [9]; Maui, Hawaii wildfires update and aftermath). These and other “wildfires” show a similar pattern. Whereas low growing plants and adjacent buildings burned at very high temperatures, reducing most materials to a light gray powder, nearby trees often survive the fires with some apparently showing little apparent damage.
This pattern may be most clear in five of these photos. The photo shown in Figure 1, is an aerial photograph of the aftermath of the 2009 Kinglake, Australia fire (Australia bushfires of 2009: Kinglake, Victoria, Australia). In Figure 1, it can be clearly seen that the burning of low-level plants adjacent to buildings, as well as the buildings themselves, occurred at vastly higher temperatures than did the burning of other nearby plants. The adjacent lowlevel plants were burned to a light gray powder, whereas plants further from the buildings were burned to leave charred remains, or were only partially burned. Similar burn patterns were seen in photos in (The Camp Fire Now 135,000 acres; Colorado wildfire snuffs over 500 homes) as well as in the first large photo in (New Mexico Fire 2022 photos). The most extensive area clearly showing this consistent pattern of burning, to my knowledge, is in the (Drone Footage of Phoenix, Oregon 9-13-2020). These findings repeatedly showed three very puzzling findings: extraordinarily high temperature burning of low growing plants near buildings including homes, extraordinarily high temperature burning of adjacent buildings themselves but much lower impacts on plants away from these buildings. There is a fourth puzzling finding repeatedly reported in news reports of these fires: explosive burning and very rapid movement of fire fronts as shown by examples in citations in the first paragraph in this section [Explosive fire again threatens Paradise, town devastated by California’s deadliest blaze; Caldor Fire Explodes: Homes in Grizzly Flats destroyed, evacuations along Highway 50 under way)) .

What will be argued here is that electromagnetic fields (EMFs) produced from electronic devices in the buildings and from electric power lines act in plants act via increased cytoplasmic calcium ([Ca2+]cyt) which acts via the following four-part structure to produce the extraordinary properties of these fires as outlined in Figure 2.
a) EMFs act via activation of three voltage regulated calcium channels (Figure 2) and increased cytoplasmic calcium [Ca2+] cyt to raise the levels of highly volatile and flammable terpenes, making EMF exposed plants much more flammable.
b) A second mechanism (top of Figure 2) may be even more important than the rapid terpene effects on plants; it is the fact that the EMF-induced volatiles, including both terpene and three non-terpene volatiles, act to spread and amplify EMF effects to large numbers of other plants. Each of the four classes of volatiles depolarize the plasma membranes of plant cells, thereby activating the same calcium channels activated by EMFs. It will be argued that these volatiles accumulate under prolonged very low wind conditions, and spread their heavy vapors over the ground, selectively impacting low growing plants and parts of plants. The red arrows on the top Figure 2 are, therefore a proposed vicious cycle which is predicted to greatly amplify and spreads EMF-like effects specifically to low growing plants.
c) EMFs also act via increased [Ca2+]cyt to raise the levels of peroxynitrite and four free radicals. These free radicals react with terpenes and O2, to produce terpene-derived organic hydroperoxides, nitrate esters and aromatic and nitro compounds in plants, with chemicals in all three classes of compounds being explosive, thus raising probable roles of EMFs to include explosive burning (Figure 2, lower 2/3rd). A second set of red arrows outlines a proposed vicious cycle chain reaction mechanism that is central to the chemistry and is identical to the known chemistry of lipid peroxidation. Much of this paper examines the terpene chemistry that produces these three classes of apparently explosive terpene derivatives.
d) Peroxidation chain reactions produce hydroperoxides which have low thermostability making them central to the chemistry of spontaneous combustion. Consequently, previous EMF exposures may cause dying or recently dead plant materials, under prolonged, repeated very low wind conditions, to accumulate high levels of terpene hydroperoxides and undergo spontaneous combustion, starting their own fires. In this way, multiple fires may start in a specific region within a specific time interval because the wind conditions for spontaneous combustion are optimal within that time interval, not via arson as previously proposed, but rather via multiple independent spontaneous combustion occurrences.
There are three key proposed mechanisms outlined in Figure 2 which together predict major impacts on the fires due to EMF effects in plants. There are two vicious cycles in Figure 2 the selective impacts of plant volatiles on low growing plants, greatly, spreading and amplifying EMF-like effects and the terpene peroxidation vicious cycle. The third such mechanism is the formation of three classes of explosive chemicals which can produce explosive burning, with one class, the hydroperoxides, also producing spontaneous combustion. This paper does not argue that all four of these are involved in all “wildfires.” Clearly some fires are not caused by spontaneous combustion. Each individual fire must be examined for features predicted here in order to determine whether that fire is a good candidate for such causation. Towards the end of this paper, five specific highly destructive fires are examined to determine whether they are good candidates for EMF exacerbation and/or causation. This paper is, then, a review of the empirical evidence on whether the proposed 1-4 mechanisms above, can be well documented both in terms of science underlying each specific mechanism and in terms of apparent fire causation of specific fires.
EMFs and Plant [Ca2+]cyt
The predicted EMF-plant interactions described in 1-4 above, are each produced by the primary mode of action of EMFs in plants. Goldsworthy, 2006 reviewed studies showing that many EMF plant effects involved increased [Ca2+]cyt and Pazur and Rassadina, 2009 showed that EMFs acted in Arabidopsis via increased [Ca2+]cyt. Pall [10] reviewed studies showing that EMF effects in plant cells and tissues could be blocked by putting cells into calcium-free medium or by putting a calcium chelator into the medium or by using a calcium channel blocker. These findings showed that EMFs act in plants, as they do in animals, primarily by activating voltage regulated plasma membrane calcium channels. This conclusion is also supported by findings that EMF exposures in plant cells and tissues produced large increases in measured [Ca2+]cyt levels Pall [10]. It has been shown that electronically generated low intensity EMFs are coherent, producing vastly higher electric and magnetic forces than do natural, incoherent EMFs Pall [11]. Those forces act, in animals, on the electric charges of voltage sensor controlling voltage gated calcium channels (VGCCs) in animal cells, opening up the VGCCs and producing increased intracellular calcium. It was concluded that EMFs also act in plants via forces placed on the electric charges on a similar voltage sensor controlling the so-called TPC channels in plants to produce increases in [Ca2+]cyt levels Pall [10]. It will be argued below that two additional channels, each containing a similar voltage sensor, each also have important roles in producing plant EMF [Ca2+]cyt effects (Figures 2 & 3). The EMF plant responses that are most relevant to the four proposed fire-related mechanisms of action of EMFs are outlined in Figure 3.
Reviews of studies showing that low intensity EMFs produce mechanisms of action shown in Figure 3 include EMF effects producing large increases in calcium signaling Kaur et al. [12], Vian et al. [13,14], increases in oxidative stress Halgamuge [15], Kaur et al. [12], Vian et al. [13,14], increases in terpenes and other volatiles Halgamuge [15], Kaur et al. [12], Vian et al. [13,14] increases in phenylalanine ammonia lyase (PAL) Vian et al. [13,14]. The only part of Figure 3, not documented in these reviews is the mechanism generating superoxide, nitric oxide (NO) and consequently peroxynitrite. Superoxide is produced via calcium activation of NADPH oxidases in plants Drerup et al. [16], Qu et al. [17]. NO production in plants is increased by EMF exposure Qiu et al. [18] which may act via increased [Ca2+]cyt. Calcium acts via a calcium-dependent protein kinase to increase NO synthesis Lanteri et al. [19]; Lv et al. [20]; Corpas et al. [21]. Pall [10] proposed that TPC channel activation in the plasma membrane was responsible for EMF induced calcium influx; however, GLR3.3 and 3.6, like the TPC channels can also be activated by plasma membrane depolarization causing, in turn, calcium influx Mousavi et al. [22]; Vincent et al. [23]. GLR3.3 and 3.6 each contain a voltage sensor that can be activated by EMF-produced forces and each have been shown to have roles in electrical communication in plants Hedrich et al. [24]. Consequently, those two channels as well as the TPC channels, which also have roles in electrical communication, are likely to have roles here, as shown in Figures 2 &3.
How EMFs Act in Plants to Cause Increased Terpene Production
The three parts of Figure 3 most relevant to terpene/terpenoid increases produced by EMF exposure are the increases in [Ca2+]cyt, increased synthesis of terpenes and other volatiles and stimulation of the peroxynitrite/free radical/oxidative stress pathway. The free radical breakdown products of peroxynitrite and its CO2 adduct can produce large increases in terpene autoxidation/peroxidation, leading to conversion of terpenes to both primary and secondary terpenoid oxidation products. Calcium acts in plants acts to increase the enzyme activity of enzymes involved in terpene synthesis Hu et al. [25]; Mohanta et al. [26]; Pintus et al. [27]; Godard et al. [28]; Vian et al. [13,14]. It follows that elevated [Ca2+]cyt, increases terpene biosynthesis in plants. Terpene production and release can be very large, even without any such EMF-stimulated increases. For example, Staudt & Seufert [29] states that “Monoterpenes and isoprenes constitute the most significant fraction of natural volatile organic compounds released by many terrestrial plants into the atmosphere. Because of their abundance and chemical activity, they can play important roles in tropospheric chemistry.” Let’s look at two of the primary literature papers that found large increases in terpene levels following exposure of plants to both GSM cell phone radiation and also to Wi-Fi radiation. Soran et al. [30] studied effects of both GSM cell phone radiation and Wi- Fi radiation. Both types of radiation produced increases in the following terpenes/terpenoids in parsley plants: camphene, β -myrcene, α -phellandrene, D-limonene, iso-bornyl acetate. Both types of radiation in dill plants produced increases in α -pinene, β -myrcene, β -pinene, α -phellandrene, D-limonene, β -phellandrene, (E)- β -ocimene, 1,8-cineol, α -caryophyllene. The changes in levels in celery plants were more variable, with the levels of two terpenes, D-limonene and para-cymene dropping with EMF exposure. In summary, the levels of many terpenes increased with EMF exposure, but two of them dropped in celery plants.

Soran et al. [30] also found that both GSM cell phone radiation and Wi-Fi each produced large increases in 1-hexanol, 3(Z)- hexenol and 2-(E)-hexenal in parsley and dill plants and smaller increases in celery. Similarly, Lung et al. [32], showed that both GSM cell phone radiation and Wi-Fi radiation increased levels of 3(Z)-hexenol and 2-(E)-hexenal in sweet basil plants. These three compounds are derived from α -linolenic acid hydroperoxide in plants, Figure 1 in Matsui et al. [31], being produced by the process of lipid autoxidation/peroxidation with almost identical chemistry to the process of terpene autoxidation/peroxidation. Lung et al. [32] in Table 1 of that paper, showed that when sweet basil plants were exposed to GSM cell phone radiation and Wi-Fi radiation, six of the terpenes/terpenoids increased levels whereas three of them decreased levels. I am going to focus on two specific terpenes/terpenoids from that table in Lung et al. [32] in Table 1 below because the comparison between the two is of great importance. Table 1 shows that EMFs produce an extraordinary increase in the oxidation of β-caryophyllene into caryophyllene oxide, such that the ratio of the two compounds increase circa 100-fold or 178-fold. The mechanism that produces this oxidation of terpenes was mentioned in the previous paragraph and is discussed in some detail below. In summary, the studies of Soran et al. [30]; Lung et al. [32] each show that EMFs produce large increases in terpene synthesis and also large increases in peroxynitrite and oxidative stress. The oxidative stress produces large increases in terpene oxidation and also lipid peroxidation. In some cases, terpene oxidation is so high, such that EMF exposure actually produces decreased levels of unoxidized terpenes.


Plant EMF Responses Outlined in Figures 2 & 3, Are Predicted to Be Much Higher than Will Commonly Occur in Plants from Other Common Stressors
Each of the responses to EMFs outlined in Figure 3, can produce useful protective changes in plants. Modest increases in [Ca2+]cyt have essential, protective roles in protecting plants from both biotic and non-biotic stressors. Plant volatiles, as discussed in the next section, act following insect herbivory to protect plants from impact of subsequent herbivores. Nitric oxide has useful signaling roles in plants and also has one antioxidant effect as well. Superoxide and its hydrogen peroxide product each have important signaling roles in plants. Low level peroxynitrite can have signaling roles in plants, acting via formation of 3-nitrotyrosine from specific protein tyrosine residues that are highly susceptible to peroxynitrite-mediated nitration Corpas et al. [33]. PAL-dependent production of aromatic secondary metabolites produce flavonoid and other phenolic antioxidants which help prevent oxidative stress in plants. Consequently, these responses each have important protective functions in plants when they are produced at modest levels but not necessarily at much higher levels. Electronically generated EMFs are coherent, being emitted with a particular frequency, vector direction, polarity and phase such that they produce vastly greater electric and time varying magnetic forces than do most natural EMFs which are incoherent Pall [11].
With other biotic and abiotic stressors, natural selection may be expected to prevent excessive levels of these responses from causing severe fires, but not with electronically generated EMFs. The role of plant volatiles in spreading and amplifying these responses appears to be most important in response to impacts of insect herbivores. However, most insect herbivores impact one or a small number of closely related species of plants (there are a few partial exceptions to this, such as with the spongy moth). Consequently, this may limit excessive response levels being produced by insect herbivory. In summary, diverse biotic and abiotic stressors act via increased [Ca2+]cyt to produce stress responses in plants Ranty et al. [34]; Sanders et al. [35]; Singh et al. [36] . EMFs produce similar stress responses in plants, very often at much higher levels.
EMFs/[[Ca2+]cyt Raise Stress Responses Including Increased Levels of Terpenes and Other Volatiles and How Terpenes and Other Volatiles Can Spread These Responses to Other Plants
Part 2 of the proposed four-part mechanism is dependent on the ability of EMFs to increase terpene levels but also on the ability of EMFs to increase three other volatiles: volatile products of lipid peroxidation, polyamines, and methyl jasmonate. EMFs produce increased polyamines in plants Radhakrishnan [37]; Trebbi et al. [38], acting at least in part via increased ornithine decarboxylase. The products of lipid peroxidation are also induced by EMFs, as discussed above Lung et al. [32]; Matsui et al. [31] acting via peroxynitrite Szabó [39]; Bartesaghi & Radi [40]; Lipid Peroxidation [41]. I know of no studies showing that methyl jasmonate is induced by EMFs but there is evidence that increased [Ca2+]cyt induces elevated jasmonate synthesis Wang et al. [42]; Munemasa et al. [43] such that increased methyl jasmonate may be inferred to be induced by EMFs. Plant volatiles including terpenes, volatile products of lipid peroxidation, polyamines and methyl jasmonate each act via depolarization of the plasma membrane Asai et al. [44]; Zebelo et al. [45]; Zebelo & Maffei [46]; Maffei [47]; Ozawa et al. [48]; Wu & Baldwin [49]; Shioziri et al. [50]. Depolarization activates in turn, plasma membrane calcium channels containing a voltage sensor and increasing [Ca2+]cyt. Asai et al. [44] showed that plant volatiles activate plasma membrane calcium channels. The calcium channels and [Ca2+]cyt increases act as positive feedback loops, as shown in Figures 2 & 3, spreading responses to other plants and other parts of individual plants and also amplifying these responses. It follows that the actions of these plant volatiles, may act to push responses which may otherwise produce mostly protective effects in plants, as discussed in the previous section, into levels that produce pathophysiological effects in individual plants and major negative ecological impacts in plant communities. While the plant volatiles activate these calcium channels via plasma membrane depolarization, EMFs activate the same channels by placing forces on the charges of the voltage sensor, not via plasma membrane depolarization.
While the effects of plant volatiles have been studied in responses of plants to injury or to bacterial or fungal pathogens, the most extensive studies have been done on plant responses to insect or other herbivores Unsicker et al. [51]. Herbivory acts primarily via plasma membrane depolarization and calcium channel activation to produce [Ca2+]cyt increases Woldemariam et al. [52]; Zebelo et al. [45]. It follows that the action of plant volatiles and plant herbivores are almost identical, such that plant volatiles act to spread and amplify the effects of herbivory. Each of these classes of volatiles discussed in this section elicit plant defenses to herbivores Pérez-Hedo et al. [53]. Plant volatile exposures do not always produce a rapid stress response in the exposed plants. They often produce a sensitivity response making them hypersensitive to further stress or volatile exposures such that subsequent exposures produce both larger more rapid responses than exposures to previously unexposed plants. Such stress memory changes in plants involve [Ca2+]cyt Tong et al. [54].
It is not clear how long such memory responses last in plants Crisp et al. [55]. However, because plant memory may involve calcium-dependent epigenetic DNA changes Thellier & Lüttge [56], some plant memory may be long-lasting. Both rapid stress responses and memory responses may be produced by EMFs in plants. However, there is one very important difference between EMFs and herbivory. Whereas most herbivores attack one or a few species of plants, EMFs appear to act similarly in diverse terrestrial plants where EMF effects have been studied, including both monocot and dicot plants. There is also evidence for a similar mechanism of EMFs in one gymnosperm Mohanta et al. [26]. For those reasons, the environmental production of plant volatiles caused by EMF exposures in plants may be vastly greater than in plants impacted by an herbivore. This paper argues that for EMFs to produce maximum spreading and amplification via terpenes and other volatiles, it is necessary to have multiple days each with multiple hours of very low (calm) wind speeds.
The reasoning is as follows:
i. Substantial wind will blow away the volatiles, preventing them from accumulating to substantial concentrations.
ii. Very low wind allows substantial accumulation of the volatiles in the air.
iii. Because the volatiles have much higher molecular weights than do the oxygen or nitrogen, or for that matter other more minor atmospheric components (argon, H2O or CO2) and the volatile vapors will increase the density of air, as predicted by the ideal gas law. Consequently, under very low wind, the vapor laden air will spread out over the ground, producing selective large impacts on low growing plants. This makes low growing plants much more flammable because of increased terpene production and may even make low growing plants susceptible to explosive burning (red arrows in upper part of Figure 2.

The Chemistry by Which EMFs May Act to Produce Three Classes of Explosively Burning Terpene Dervatives: Hydroperoxides, Nitrate Esters and Nitro Compounds.
In this section, the chemistry of formation of three classes of terpene-derived compounds is described where each of those three classes are well-documented to be explosive. Each of those three classes of explosive terpene derivatives are shown in bright red, bold face font in Figure 4. Terpene chemistry is, in general, extremely complex. However, the terpene chemistry that produces these three classes of compounds is well documented, well understood and somewhat simpler. That chemistry is outlined in Figure 4. We will discuss here the explosive properties of each those three classes of compounds, starting with the hydroperoxides. A very large number of organic peroxides are explosive and how explosive they are when they burn can be predicted from their chemical structure Sato et al. [57]; Yoshida et al. [58]. The hydroperoxides produced from monoterpenes and sesquiterpenes can be predicted to be quite explosive from the ratio of reductive to oxidative activity of these terpene hydroperoxides Sato et al. [57]; Yoshida et al. [58]. It may be inferred, therefore, that such terpene hydroperoxides are explosive, based on their chemical properties. Somewhat similarly, many nitrate esters of hydrocarbons, are explosive. (Nitrate Esters, Wikipedia)) states in its second section: “Explosive properties: The thermal decomposition of nitrate esters mainly yields the gases molecular nitrogen (N2) and carbon dioxide. The considerable chemical energy of the detonation is due to the high strength of the bond in molecular nitrogen.”
The predicted explosivity of terpene derived hydroperoxides, nitrate esters and nitro compounds is not based solely on the chemical similarity of those compounds to other such compounds which are known to be explosive. Those predictions are also based on the basic difference between solids and liquids which burn non-explosively vs those that burn explosively. Explosives differ in a fundamental way from ordinary flammable materials. Ordinary flammables have their rate of burning distinctly limited by the availability of molecular oxygen in the air. Because the density of air is less than 1/1000th of the density of flammable solids or liquids and only about 21% of air is O2, burning rates are very highly limited by O2 availability. In contrast, the hydroperoxide groups, nitrate esters and nitro groups are each oxidants, such that the terpene derivatives carrying those groups can burn explosively – that is at very high rates. The biotransformation of both nitrate ester and nitroaromatics into nonexplosive compounds involves the reduction of those oxidative groups by flavoprotein reductases Williams et al. [59]. These terpenederived hydroperoxides, nitrate esters and nitro compounds are not structured to produce maximum explosive power like TNT or nitroglycerine. However, both their chemical structure and their similarity to known explosives carrying the same oxidant groups tells us that they are explosive.
Terpenes are very highly susceptible to autoxidation (also known as peroxidation) in the presence of oxygen in the air, forming high amounts of hydroperoxyl radicals and also hydroperoxides Figure 4, each of which can break down to form secondary oxidation metabolites including oxides and epoxides Bäcktorp et al. [60]; Bitterling et al. [61]; Christensson et al. [62]; Calandra & Wang [63]; Nilsson et al. [64]; Eddingsaas et al. [65]. The chemistry of terpene autoxidation was outlined by Bäcktorp et al. [60]; Bitterling et al. [61]and Eddingsaas et al. [65]. The initial step is that a CH2 group in the hydrocarbon chain undergoes hydrogen abstraction often produced by attacks of a free radical (Figure 4). Hydroxyl radicals are active in producing hydrogen abstraction but carbonate radicals are much more active Lymar et al. [66]; Augusto et al. [67]. Hydroxyl radicals are breakdown products of peroxynitrite whose levels in plants are very greatly elevated by EMFs acting via excessive intracellular calcium in plants, and carbonate radicals are breakdown products of the CO2 adduct of peroxynitrite (Figure 3). It is likely, therefore, that peroxynitrite-dependent hydrogen abstraction is produced mainly via carbonate radicals, with a smaller amount of hydrogen abstraction produced by hydroxyl radical. Ozone, peroxyl radicals and also singlet oxygen can also produce hydrogen abstraction, as well. CH bonds, when they occur in CH2 groups adjacent to carboncarbon double bonds in 5 or 6 carbon rings are highly susceptible to hydrogen abstraction because of the stresses on the structures involved. These and other stressed structures in terpenes may make them especially susceptible to hydrogen abstraction causing terpenes, in turn, to be very highly susceptible to autoxidation/ peroxidation. Terpenes are, therefore, very active in much of the chemistry outlined in Figure 4.
As discussed in Bäcktorp et al. [60], Eddingsaas et al. [65] and elsewhere, the terpene carbon centered radicals produced by hydrogen abstraction react with molecular oxygen (O2) from the air to produce a terpenoid peroxyl radical see Figure 4. The peroxyl radical can subsequently produce hydrogen abstraction from another terpene, simultaneously producing a hydroperoxide and a new carbon-centered free radical (Figure 4). Repetition of these chemical reactions can produce large chain reactions Bäcktorp et al. [60]. Secondary oxidation products are produced from the terpene hydroperoxides. For example, Kern et al. [68] showed that limonene hydroperoxide produced three secondary oxidation products, limonene oxide, hydroxide and epoxide. With the exception of the secondary oxidants, the terpene chemistry here is almost identical to that of peroxynitrite-induced lipid peroxidation Szabó [39]; Bartesaghi & Radi [40]; Lipid Peroxidation [41]. Terpene peroxidation, as is also found in other types of peroxidation, is produced by a vicious cycle where the steps in terpene peroxidation are shown by red arrows in Figure 4 and lower section of Figure 2. The critical step in that vicious cycle is that terpene peroxyl radicals act to abstract a hydrogen atom from another terpene, producing simultaneously a carbon centered radical and a terpene hydroperoxide.
Other studies have shown that the chemistry of terpene autoxidation/peroxidation is even more complex than outlined in the previous paragraphs. Fig. 1 in Eddingsaas et al. [65] showed that autoxidation is initiated by hydrogen abstraction of the terpene α -pinene. However, subsequent reactions with molecular oxygen to form peroxyl radicals and subsequent hydroperoxides form seven distinct terpenoid hydroperoxides including one dihydroperoxide, all derived from α -pinene autoxidation. Eddingsaas et al. [65] showed, that very substantial amounts of four hydroperoxides were formed, under the conditions studied including the dihydroperoxide. These and other findings of Eddingsaas et al. [65] showed that whereas autoxidation chemistry of terpenes can be complex, the basic mechanisms involved are as outlined in Figure 4. The source of hydroxyl radical in Eddingsaas et al, 2012 was produced by UV light, not peroxynitrite, these findings predict that EMF elevation of peroxynitrite-derived hydroxyl radical, will, in the presence of molecular oxygen, produce substantial dihydroperoxides and secondary oxidants of terpenes, with the secondary oxidants, as previously discussed, greatly elevated following plant EMF exposures Lung et al. [32]; Soran et al. [30].
Pye et al. [69] showed that terpene hydroperoxides reacted with .NO to form nitrate esters such that large amounts of terpene nitrate esters are formed in the atmosphere of the earth. Eddingsaas et al. [65] also described the formation of six nitrate esters of α -pinene again via reaction of terpene hydroperoxyl radicals with .NO. The Nitrate Ester article in Wikipedia (quoted above), states in its second section, that large numbers of nitrate esters are explosive. Eddingsaas et al. [65] shows that both .NO and .NO2, both of which are free radicals, can react with terpenederived peroxyl radicals, to form nitrate esters. McKnight et al. [70], Pye et al. [69] and Eddingsaas et al. [65] have each shown that terpene secondary oxidants, including epoxides can react with .NO2 and .NO3 to form nitrate esters (not summarized in Figure 4). Nitrate Esters [71] states that nitroglycerine is, despite its name, a nitrate ester, not a nitro compound. Terpene-derived organic peroxides and nitrate esters are not the only type of presumably explosive chemicals whose levels may be greatly raised by EMF exposures. Peroxynitrite is known to act through its free radical breakdown products see Figure 2 to produce explosive organic nitro-derivatives. As stated in (Vandelle & Delledonne, 2011), Peroxynitrite formation and function in plants: “In contrast, high peroxynitrite levels induce a series of reactions targeting lipids, DNA and proteins. Among these reactions, nitration (the addition of a NO2 group) is one of the most biologically relevant redox mechanisms in animals.
Although much less is known about peroxynitrite mediated nitration in plants, tyrosine nitration in particular is emerging as an important feature of stress responses. This review provides an overview of nitration in plants, focusing on protein nitration and its potential role as a signaling regulator during plant defense responses against pathogens (citations deleted).” The chemistry of peroxynitrite-dependent formation of 3-nitrotyrosine is wellknown, involving the radical breakdown products of peroxynitrite and its CO2 adduct -- carbonate radical, hydroxyl radical and .NO2 radical Szabó [39]; Bartesaghi & Radi [40]. The tyrosine ring undergoes hydrogen abstraction produced by carbonate radical or hydroxyl radical. The carbon-centered radical produced subsequently reacts with .NO2 radical to produce 3-nitrotyrosine. Similar or identical chemistry can produce nitro derivatives of both terpenes (Figure 4) and of diverse aromatic compounds. Terpenes very readily undergo such nitration under a variety of conditions (Nojgaard et al, 2006; Grosjean & Williams [72]; Pommer et al. [73]; Calogirou et al. 1999; Schwantes et al. [74]. Ozone performs hydrogen abstraction leading to nitration (Giamalva et al. [75]; Pommer et al. [73] and Nojgaard et al, 2006). While trinitrotoluene, dinitrotoluene (TNT and DNT) are the two best known highly explosive nitro compounds, there are many other explosive nitro compounds, both aromatic and nonaromatic (Badgujar et al. [76]; Xiao et al. [77]; Zhang & Bauer [78]; Stephenson et al, 1996). Aromatic compounds produced in plants via PAL are also excellent substrates of nitration, being produced via the chemistry described above for 3-nitrotyosine formation. Because PAL activity in plants is raised by EMFs as is peroxynitrite (Figure 3), these findings predict that nitro derivatives of PALderived aromatics may also be raised by EMF exposures.
Predicted Properties of Explosive Fire Storms of Low Growing Plant Materials from EMF and EMF-Induced Volatile Impacted Plants
Of the three classes of explosive compounds discussed in the previous section, the peroxides including hydroperoxides have the lowest chemical thermostability as shown by two research groups (Zhang et al. [79]; Zhang et al. [80]) and are, therefore, predicted to burn explosively at the lowest temperature. Such burning will be followed as temperatures rise rapidly, by explosive burning of the nitrate esters and then the aliphatic and aromatic nitro compounds, based on their relative thermostability Vogelsang [81]. This sequence may be proposed to produce extraordinarily rapid progression of the fire front. When the explosive fire front hits buildings or vehicles, they may also burn at extraordinary temperatures because extraordinary heat produced by the explosive burning at the fire front. However other nearby materials, not directly impacted by the fire front, may be much less affected or even completely unaffected. At the beginning of this paper, four previously unexplained properties seen in photos and videos of these fires were documented, each of which can be easily be explained by the mechanisms summarized in the previous paragraph.
These were the extraordinary temperature of burning of low growing plant materials, the extraordinary temperature of burning of adjacent buildings, the vastly lowered temperature of burning of plants away from these buildings, and the extraordinary rapidity of movement of fire fronts. I have summarized in Table 2 below, 12 additional specific observations about these fires, each of which is difficult if not impossible to explain via any previously discussed fire mechanism. Each of the 12 is, however easily explained via the mechanisms outlined in Figure 2. These collectively provide strong confirmation of the predicted consequences of these mechanisms. Consequently, the extraordinary explanatory power of the model outlined in Figure 2, is clear. One citation that emphasizes the extraordinary properties of the 2017 Northern California fires is: NorCal Fire Captain Says DEW the ‘Only Plausible Explanation’. In this article, John Lord, a highly decorated 25-year fire educator and fire captain, emphasizes how unusual the 2017 Northern California fires were, stating that in his opinion they could only be caused by “directed energy weapons” acting from above. Clearly, I do not agree with his interpretation but I very much agree that these fires require a novel explanation.
Fires May Start via Spontaneous Combustion in Plant Materials Previously Exposed to EMFs &/or Volatiles: How Extensive Very Low Wind Conditions May Have Essential Roles
It may seem counter-intuitive to have plant-derived materials undergoing spontaneous combustion, but they do exactly that. The storage of wet hay has often been shown to produce substantial progressive heating of the stored wet plant materials leading to spontaneous combustion (Spontaneous combustion a possibility with wet hay; Don’t risk hay fires). Multiple research groups have shown that autoxidation/peroxidation chain reactions identical to those shown in Figure 4 are the central processes involved in spontaneous combustion of multiple types of materials and that hydroperoxides have essential roles in spontaneous combustion (Guo and Tang [82]; Chen et al. [83]; Juita et al. [84,85]; Dlugogorski et al. [86]. Spontaneous combustion can occur in coal, where similar autoxidation/peroxidation chemistry involving peroxides is found to have essential roles. Huo & Zhu [87] have shown that coal spontaneous combustion is centered on chemical chain reactions where peroxyl radicals produce hydrogen abstraction, producing carbon centered radicals which react with molecular oxygen from the air, to form additional peroxyl radicals, a sequence that was inhibited by reduced glutathione. Li et al. [88] have shown that the free radical scavenger TEMPO can greatly lower spontaneous combustion in coal, again documenting the role of free radical chain reactions.

Matunaga et al. [89] showed that spontaneous combustion of waste materials required oxygen from the air, being blocked by a nitrogen atmosphere. Oxygen exposure produced rapid accumulation of hydroperoxides on cellulose and other carbon containing materials. Each of the findings in the previous two paragraphs document essential roles of peroxidation chain reactions and the consequent formation of hydroperoxides in spontaneous combustion. Because plant materials from plants previously exposed to EMFs and/or plant volatiles contain high levels of terpenes undergoing such autoxidation/peroxidation (Figures 2,4), they are predicted to be highly susceptible to spontaneous combustion. The optimal conditions for spontaneous combustion following EMF exposures and spreading and amplifying of those responses produced by induced volatiles, are likely to involve plant materials in depressions in the ground where maximum concentrations of terpenes and other volatiles may accumulate under the lowest possible wind speed at most points in time. Spontaneous combustion is likely to occur only after repeated periods of very low (calm) wind. These wind conditions are essential because spontaneous combustion only occurs where there is access to O2 from the air and also where heat can accumulate from the exothermic peroxidation chain reactions. Even low wind conditions will disperse both volatiles and accumulated heat and thus prevent spontaneous combustion. Spontaneous combustion in such depressions in the ground may only produce a smoldering fire that may go unnoticed for days and may stop burning as it exhausts the available burnable materials. Consequently, very high, gusty wind conditions may be needed to blow the fire out of the ground and start the fire burning explosive plant materials just above the ground surface. The transition may be somewhat similar to that seen in Ogle et al. [90] where a smoldering spontaneous combustion fire produced an explosion.
The Properties of Three Specific California Fires and One Oregon Fire Support Roles for the Mechanisms Outlined Above: Days When Hours of Continuous Calm Winds Followed by High Wind Gusts Preceded Each of the Four Fires with Each Producing Massive Destruction Where People Lived
The previous section predicts that spontaneous combustion in such fires may require extensive periods of calm (very low wind) for each of several days preceding fires followed by high wind gusts very shortly before a fire is detected. In addition, the EMF-induced volatiles caused amplification and spreading of EMF-like effects selectively to low growing plants may also require extensive periods of calm for several days before a fire is likely to be produced with explosive burning of low growing plants. The goal here is to use wind records to determine whether these two predictions are valid in four major fires.
The fires that are being analyzed here were chosen based on three main criteria:
a) U.S. fires were chosen because the (Weather Underground, Historical Records) web site provides historical archives that include wind information for many locations in the U.S. The wind records being used here were the closest available wind records to the reported origin(s) of each fire.
b) Each fire chosen produced massive damage to places where people live, such that they are each individually of great interest and they may not be genuine wildfires because of the human impacts in the region.
c) Each of these for fires could be shown to have the crucial properties that makes them very different from normal wildfires.
They were each shown in the photos cited early in this paper to have had very high temperature burning of low growing plants adjacent to buildings and also very high temperature burning of those adjacent buildings, in both cases, converting them into a light gray powder; however, trees and sometimes other plants further away from those buildings were much less impacted by the fire, with the trees still alive and often only modestly impacted. I concentrate here on the apparent origins of each fire, the wind conditions at the time of those origins based on apparently reliable local wind information and, in addition, the preceding wind conditions in the days leading up to each fire from (Weather Underground, Historical Weather).Weather The historical wind data for the 2017 fires, is presented on Weather Underground in terms of wind once per hour, summarized at 7 minutes before the hour (such as at 2:53 pm). However, some of the more recent fire data have sometimes been given at two or even three times per hour; for consistency, data used here is for only that presented at 7 minutes before the hour. The data discussed below suggests that days of 8 or more hours of continuous calm that fell into the 10 day period preceding the fires may be most important in fire causation. Consequently, most of the discussion of very low wind (calm) focusses on such 8+ hour days during the preceding 10 day periods.
The Tubbs, Santa Rosa 2017, fire which broke out on October 8 Tubbs Fire [91]. In the 10 days preceding the fire, three of those days had 8 or more hours of continuous calm (Table 3). Those days were Oct. 5 (10 h of calm), Sept. 30 (10 h of calm) and Sept. 28 (13 h of calm). There were also (Table 3) 3 days with 6 h of calm each, Oct. 7 & 3 and Sept. 29 which may have contributed to the fire to a lesser extent. The timing of the appearance of the Tubbs fire was closely associated with the occurrence of gusty winds. That is documented in Tubbs Fire [91] article which states: “The Tubbs Fire started near Tubbs Lane in Calistoga, around 9:43 p.m. on Sunday, October 8. As it and other North Bay fires began to spread, Sonoma County emergency dispatchers sent fire crews to at least 10 reports of downed power lines and exploding transformers. In northern Santa Rosa, the peak wind gusts at 9:29 p.m. hit 30 mph; an hour later, they were 41 mph.”
The article entitled (PG&E power lines sparked two fires in Santa Rosa last October, city probe finds) concluded that the Tubbs fire started at two different locations, each high voltage power line locations. These were each interpreted in terms of electric arcing cause by a combination of high winds and poor maintenance. CALFIRE, the California state government agency that deals with such fires, came to a somewhat similar conclusion. Unfortunately, the redacted report that they put out is no longer available and consequently I have not examined their reasoning. Having said that, one cannot expect CALFIRE or anyone else to assess EMF roles in fires including spontaneous combustion at a time where none of the information in this paper had been published in a form that shows how this information may explain previously inexplicable properties of these fires.
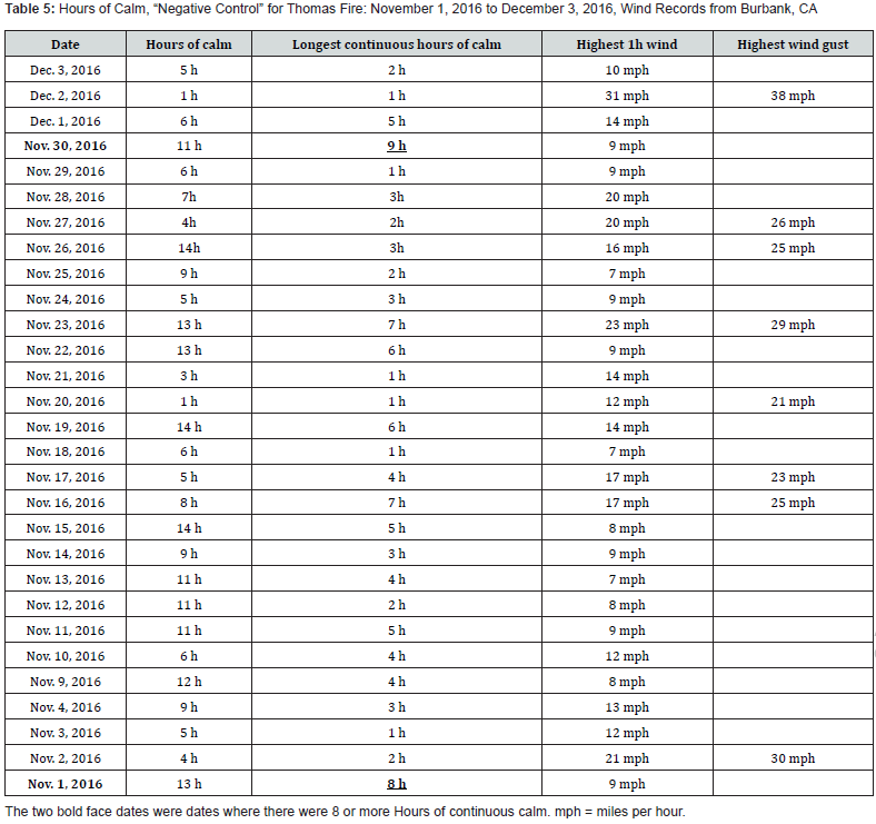
The Thomas Fire started at two different locations each containing high voltage powerlines with each starting during periods of local high, gusty winds Luke Gallin [92]. These two fire starts were inferred to be caused by the power lines coming into contact with each other due to the wind gusts. However, it may be more plausible that each fire start was caused by spontaneous combustion due to dirty electricity in the power lines and where, as discussed above, the initial smoldering fire may have been blown into an inferno by a combination of the high gusty winds and the three classes of explosives in nearby plant materials. The wind data for the Thomas Fire see Table 4 were consistent with the proposed set of mechanisms. The Thomas Fire which started Dec. 4, 2017 was preceded by three days each of which had 8 or more hours of continuous calm – notably on Dec. 3, Nov. 29 and 30. It is possible that shorter periods of continuous calm, 6 h on Dec. 2 and 5 h on Dec. 1 may have contributed to the Thomas Fire to some extent. The wind patterns for the Tubbs and Thomas fires were both consistent with those predicted by EMF fire causation and exacerbation produced via the mechanisms discussed above – notably multi-day periods of 8h or more periods of calm, followed by high gusty winds. It is possible however that such wind patterns are quite common such that their occurrence here may have little importance. It may be important, therefore, to consider a period where such wind patterns are predicted to not occur.


Dates in November and December 2016 corresponding to the dates of occurrence preceding the Thomas fire, in 2017, are presented in Table 4. There were no California 2016 “wildfires” during that period according to the CALFIRE database. The 2016 wind data for those dates, in Table 5. Table 5 data are listed as a “negative control” but these data, as is true for all of the data presented in Tables 3-7, are epidemiological, not experimental. What can be seen in Table 5 is that there were only two days over the month-long period where 8 or more hour periods of continuous calm occurred and those two days were four weeks apart. The Camp fire, the fire that wiped out Paradise CA and two smaller hamlets in Butte county, CA. It was, as stated (California wildfire was world’s costliest natural disaster in 2018, insurer says [5]) and was also the deadliest fire in California history 93. Priyanka B [93]. It is thought to have started in two different locations, each near high voltage powerlines (Camp Fire started by PG&E owned power transmission lines: CAL FIRE). The timing of these fires corresponds closely to high, “Jarbo” wind gusts Camp Fire [94]. The first reported fire started at 6:22 AM and a second ignition occurred slightly later, at a location nearer to the hamlet of Concow, which was also largely destroyed. The two separate fires merged into one. The Camp Fire has been shown to have had two distinct origins, both apparently involving high voltage power lines Cal Fire News Release: CAL FIRE Investigators Determine Cause of the Camp Fire [95]. These have each been interpreted as being due to inadequate maintenance of these power lines. The question being raised here is whether each of these two origins may have been due to spontaneous combustion caused by EMF dirty electricity in those power lines.

The wind records in Table 6 come from the Chico, CA airport, a location which is approximately 0.5 km lower elevation than is Paradise, CA. Paradise, Concow and the electric power lines thought to be linked to the Camp fire ignition are each surrounded by dense forest, unlike the area around Chico airport, and the forest trees may be expected to lower wind speeds near ground level. I suggest, therefore, in Table 6, that the wind levels at Chico airport, are likely to be substantially higher than the winds in the area of the Camp fire. The specific low wind days that are most likely to have key roles in fire causation if the Camp fire are bold faced in Table 6. The aftermath of the Almeda, Talent/Phoenix, Oregon fire was similar to that of other recent fires. Large areas where low growing plants burned at extremely high temperatures, leaving only light gray ash, with adjacent buildings also burning at extremely high temperature and also being reduced to light gray ash Fire Aftermath in Phoenix, Oregon One Month Post Burn 10- 4-2020 Almeda Fire [96]. In contrast, many trees further away from the low growing plants survived the fire, sometimes with only minor damage. The fire started as a grass fire in a dog park field near the far north end of Ashland OR near Almeda Dr., very early on Sept. 8, 2020. No initial cause for the Almeda fire has been established, despite intense study of that question.

The 2020 Oregon wildfires [97] – Wikipedia article shows that over half (11 out of 21) of the 2020 Oregon wildfires apparently started on September 7 and 8. There were prolonged continuous hours of calm !10-11) hours each day on September 3, 4, 5 & 6 as indicated in Table 7. This was followed by gusty winds that started in some parts of Oregon late on Sept. 7 spreading to other parts early on Sept. 8. These may be viewed as close to optimal wind conditions for both spontaneous combustion and EMF-linked fire exacerbation. How then, do I interpret these Almeda fire findings? There was and is a 69 kV PacifiCorp high voltage power line is approximately 0.18 km from the Almeda fire initiation point U.S. Energy Mapping System [98]. I believe, therefore, that the Almeda fire was probably caused by dirty electricity in the power line causing, in turn, spontaneous combustion of plant materials in a depression in the ground, as discussed above. The strong gusty winds often blowing towards the north/northwest blew the smoldering spontaneous combustion material out of the depression, triggering explosive burning of low plant materials. The winds blowing towards the north/northwest were also along the approximate direction of that high voltage power line. It is plausible, therefore, that the 69 kV power line had an important role in both the starting of this fire by spontaneous combustion and also acted, along with the wind direction, in the very rapid, explosive north/northwest burning of this fire. However, as you have seen earlier in the preceding paragraph, 10 additional fires broke out during the Sept. 7 & 8 time period, such that with these close to optimal wind conditions, very highly specific additional conditions are not apparently needed.

However, high voltage power lines are reported to have possible roles in five additional large Oregon fires according to an Oregonian news article (PacifiCorp could face substantial liability if downed power lines caused Oregon wildfires) Ted S [99]. Although the article headline focuses on downed electric power lines, it is not clear from the article that downed electric lines have any roles in any of those six fires. Five of those high voltage power line associated fires occurred on Sept 7 & 8, 2020: The Echo Mountain fire (Sept. 7) and the Archie Creek, Slater, Almeda and South Obenchain fires (Sept. 8). In summary, then, each of these four fires show a similar pattern of occurrence in addition to the similar fire properties that have been documented previously in this paper. In the 10 day period preceding the apparent occurrence of each of these fires, there were multiple days with many continuous hours of calm. This was followed, in each case, by high gusty winds and rapid, apparent occurrence of the fires. In three of these four fires, there were two separate origins of the fires, strongly arguing that there are powerful causal actors that are similar or identical at each of the two origins. That argument is further strengthened by the fact that in the Tubbs fire, there were from 11 to 15 additional large fires, which started during the gusty wind period on Oct. 8 & 9, 2017 in the same region of Northern California. According to news reports, approximately 40 independent fire starts occurred during that same gusty wind period in that region of Northern California. A similar pattern was seen in the Oregon Almeda fire, where a total of 11 large fires occurred during the gusty wind period on Sept. 8 & 9, 2020. The records for the whole year, 2020 showed that the majority of the fires in Oregon for that year, 11 out of 21, occurred during that short gusty wind period.
The patterns seen here are not unique to these fires. For example, The Caldor fire is thought to have started at two different locations Caldor Fire [100]. And approximately 100 fires started independently of each other in a short time in the Galicia region of northwestern Spain (Wildfires in northern Spain) Sonia [101]. Perhaps the most surprising finding about the four carefully examined fires, is the finding that three out of four started with two independent starts, each associated with high voltage power lines. The fourth (Almeda) fire only had a single start but that was also associated with a high voltage power line. The conventional wisdom has been that these fires are caused predominantly by climate change and that when high voltage power lines are involved, that such power lines must be acting via poor maintenance and consequent wind-caused arcing or via poor maintenance and broken power lines. That reasoning only makes sense if there is no alternative explanation. However, we do have an alternative explanation, namely dirty electricity in the power lines may produce spontaneous combustion and explosive burning of previously irradiated plant materials. That alternative needs to be considered. That alternative is supported by the finding that “vegetation grown around high power lines in areas that are in known high fire zones” (PG&E uses helicopter technology to analyze Bay Area power line environments) [102] in addition to many other findings discussed above. The most important information falsifying that conventional wisdom includes all of the information provided early in this document and also in Table 2 showing that the properties of these fires are inconsistent with the conventional wisdom. Plausible sources of dirty electricity in power lines are discussed in section 3.1.
In conclusion, it is very difficult to infer causation from epidemiological studies alone and no such inference is made here. However, if the wind patterns preceding these fires had been very different from what was found for each of these four fires, such findings might well have falsified the theory proposed here. The theory described above predicts that many fires will have been preceded by multiple continuous hours of calm in multiple days preceding the fires – and Tables 3-7 show that to be true in the 10 day period preceding each fire. It also predicts that apparent fire occurrence may have been immediately preceded by high wind gusts, and that has also been seen in each of the four fires examined.
Brief Comments about Electric Power Company Liability for These Fires
I have a number of comments about possible liability of electric power companies with regard to these fires. PacifiCorp came to a settlement with regard to its possible role in the 2009 Williams Creek fire and Pacific Gas and Electric Company (PG&E) has gone bankrupt twice because of possible liability for the California fires. Each of these liability claims are based on the claim that apparent electric power line causation must be due to poor maintenance of those power lines. However, we have here an alternative explanation, namely that such causation may be caused by dirty electricity in the power lines and the impact of consequent EMF exposure on plants. The electric power companies do not have control of most of the dirty electricity in their power lines and therefore cannot be blamed for the damage produced by that dirty electricity. Major sources of such dirty electricity are discussed in the second to the last section of this paper. The EMF “safety guidelines” assure the companies of the safety of power line-associated EMFs, such that in a sense, the electric companies are victims of unreliable safety guidelines, just as are many of the rest of us are. Furthermore, neither the electric power companies nor anyone else can be faulted for not having the information in this paper before it has been published. Consequently, I have considerable sympathy for the challenges of the electric power industry although I would hope that they would take some proactive steps to ameliorate fire hazards when and if this paper is published.
The First 5G Fire?
On April 4, 2019, the worst fires in the history of South Korea broke out in the early evening along a road in the town of Goseong (South Korea: Fire breaks out near Goseong April 4) [103]. By early April 5, a few hours later, over 4000 people had been evacuated from the towns of Goseong and Sokcho in Gangwon province. That fire rapidly spread to three nearby towns each along the Northeast coast of South Korea. “More than 17,000 firefighters - including military personnel using helicopters - have been deployed to fight the blazes, which the local government in the city of Goseong described as an ‘unprecedented disaster.’ (South Korea declares state of emergency as ‘unprecedented’ wildfires force thousands to flee) [104]. The fire is thought to have been started by a defective transformer, so the important question may not be how it started but why it spread with unprecedented speed. So what relationship can this possibly have to EMFs? 5G was turned on throughout South Korea at circa 11 pm on April 3, 2019 approximately 20 h before these fires started (South Korea launches 5G network early to secure world first) [105]. 5G is designed to carry unprecedented amounts of information via unprecedented EMF modulating pulsation. Because modulating pulsation is known to produce much higher biological effects Pall [106,11] and 5G is designed to carry extremely high amounts of information via extremely high levels of pulse modulation, 5G may be predicted to produce much higher effects than other EMFs. The fires broke out in the same area of South Korea was where 5G had been first tested in connection with the preceding winter Olympic Games in South Korea, 38 days earlier (Intel to show off 5G network at 2018 Winter Olympics) [107]. Consequently, plant memory triggered directly by 5G radiation or indirectly by 5G triggered plant volatiles may have caused plants in that region of the country to be hypersensitive to subsequent 5G radiation. This is not proof that 5G caused the unprecedented Korean fire. It is, however, an unprecedented juxtaposition of events such that it is essential to determine whether these are just coincidences or whether, as suggested above, they are causal relationships.
What Types of EMFs Are Most Likely to Be Triggering EMF Effects in Plants? Four Complex Interactions between EMFs and Climate Change
Several types of common EMF radiation are reported to impact plants and there are findings suggesting possible roles in fire causation and/or exacerbation. Mobile phone base station, also known as cell phone tower, radiation has been shown by Waldmann-Selsam et al, 2016 to impact trees. Possible fire exacerbation is suggested but not proven by the widespread destruction of 77 cell phone tower in the 2017 Santa Rosa (Tubbs) fire (Crucial communication proves difficult as wildfires knock out cell towers). Lung et al. [32] showed that both Wi-Fi radiation and cell phone radiation produce large increases in plant terpene synthesis and even larger increases in terpene oxidation. Wireless communication, with the exception of FM radio, carries information via modulating pulses (modulating an underlying frequency) and such pulses, as discussed both above and below, making EMFs in most cases, much more biologically active. This raises large concerns over biological consequences of developing ever “smarter” devices with large increases in the amounts of modulating pulsation. There are several impacts that well-meaning approaches to generating “green energy” electricity or lowering electric power usage have produced large increases in the generation of dirty electricity which may, in turn produce biological impacts in animals and plants. These fall into two different categories both of which involve increases in dirty electricity.
By far the most concerning of these categories of dirty electricity is “green energy” production via wind turbines or photovoltaics each generate DC currents which must be converted to 50 or 60 Hz AC. That conversion is almost always produced using digital inverters which produce high amounts of high frequency harmonics. These issues have been discussed in the context of both photovoltaics Bedeloğlu et al. [108]; Juswardy et al. [109]; Rachid et al. [110] and wind turbines Jeffery et al. [111]. There are much better analog inverters that can be used but they are only rarely used because of greater expense and filters can also be used to lower the dirty electricity produced by digital inverters. Switch-mode power supplies in diverse electronic devices are another common source of dirty electricity; Such devices are all or almost all equipped with capacitative filters which are designed to greatly lower the dirty electricity produced by them (Switch-mode power supplies: Wikipedia) [112]. One can question whether such filtering is adequate but the use of filters in switch mode power supplies makes it all the more disturbing that it is not standard practice to use filters for digital inverters used for photovoltaics or for wind turbines.
A second exposure category related to green energy, albeit less concerning, involves dirty electricity from both LED lighting Milham & Stetzer [113]; Lehman & Wilkins [114] and compact fluorescent lighting (CFL) Milham & Stetzer [113]; Long et al. [115]. The more recent LED lights have filters in them and, consequently, this is much less a concern than it was originally. Each of these is used to lower electricity usage for lighting. Digital technology is inherently dirty because any time an electric field changes instantaneous from one level to another, the square wave generates very many frequencies of harmonics as can be shown by a Fourier analysis.
However digital changes from microchips have tiny current flows such that they are not considered to be a health threat. But when one has very large currents undergoing digital changes, as is always the case with large electric currents going through digital inverters with no filtration, those are most likely to produce major biological effects both in plants and in animals. Given the role of high voltage power lines in each of the four fires whose wind records were analyzed above, it is my opinion that unfiltered digital inverters are likely to be the main cause of spontaneous combustion in the starting of fires. If this is correct, it is of grave importance that this situation be corrected. These findings raise the question about whether these well-intentioned approaches to lowering CO2 emissions produced by using fossil fuels to generate electricity may be increasing fire occurrences and intensities rather than decreasing them. Another possible concern, is that substantial increases in plant terpene production at a global level may itself increase climate change, because terpenes are themselves greenhouse gases Gonzalez et al. [116]. I support the goals of lowering climate change by lowering CO2 emissions. However, it is essential to avoid large increases in dirty electricity impacts on plants that may be making the fire problems much worse rather than better.
Who Then, Is at Fault Here in the Causation of the Severity of and in Some Cases the Causation of These Fires?
We have reason to think that dirty electricity from digital inverters used for solar electric generation and wind turbines have substantial roles in producing EMF plant impacts which cause, in turn both explosive fires with extraordinarily rapid movement of fire fronts and also spontaneous combustion causation. We also have reason to think that many pulse modulated EMFs from cell phones, cordless phones, cell phone towers, smart meters, radar and other types of wireless communication may each have roles here, as well. We cannot say with assurance what the quantitative relative roles are of each of these in fire causation and exacerbation. Each of these EMF effects originate from one central source: the EMF “safety guidelines” that originated with the ICNIRP (International Commission on Non-ionizing Radiation Protection). (ICNIRP, 2009) [117,118] “safety guidelines” have been adopted with no or only minor variation by many regulatory authorities around the world. All of these “safety guidelines” are based on average intensities averaged over either a six minute or 30 minute periods, where allowable levels are based entirely thermal effects such that average intensities producing little or no heating are all allowed. Each of the following findings clearly falsify these “safety guidelines.”
i. The Glaser [119] review reported approximately 90 non-thermal EMF effects in animals and in humans and there have been many thousands of subsequent studies documenting such non-thermal effects in animals, humans or cells in culture. Therefore, there is massive evidence for EMFs producing nonthermal effects in animals including humans. Evidence for nonthermal effects in plants is provided in this paper and in reviews cited herein.
ii. Electronically (electric current) generated EMFs are very different from most natural EMFs. Chapter 7, “Electromagnetic Induction” in Purcell [120] is entirely focused on the fact that electric currents induce EMFs in the surrounding space. Such EMFs are coherent as shown in 10 citations cited in Pall [11]. Coherent EMFs are emitted with a specific frequency, vector direction, polarity and phase and such coherent EMFs produce vastly stronger electric forces and time-varying magnetic forces than do most natural EMFs which are incoherent. Natural EMFs which are made up of astronomical numbers of photons going in different directions, with different phases and polarities because of their incoherence, produce only miniscule electric forces or timevarying magnetic forces. The ICNIRP safety guidelines completely ignore the biological effects produced by these forces when they only consider thermal effects. (ICNIRP Guidelines. 1997) paper is entitled “International Commission on Non-ionizing Radiation Protection [121]. Guidelines on limits of exposure to incoherent optical radiation (0.38–3 μm).” The title of that paper tells us that ICNIRP recognized the importance of coherent vs incoherent EMFs when it comes to near visible radiation but, incomprehensibly, but for 25 years, has refused to recognize the importance of coherence when it comes to other radiation frequencies.
iii. All wireless communication with the exception of FM radio, as stated above, carries information via pulse modulation of an underlying EMF frequency. The smarter the device, the greater the pulse modulation. Twelve published reviews have each reported that such pulse modulated EMFs, in most cases, produce much higher biological effects than do non-pulsed EMFs of the same average intensities. Osypov [122]; Pollack & Healer [123]; Frey [124]; Creighton et al. [125]; Grigor’ev [126]; Belyaev [127]; Belyaev [128]; Markov 2007; Van Boxem et al, 2014; Belyaev [129]; Pall [130]; Panagopoulos et al. [131]. There are three important conclusions that should be drawn from this information. Firstly, five of these reviews were published before the original ICNIRP 1998 guidelines were published and eight were published before the ICNIRP 2009 guidelines were published. Therefore, the failure of ICNIRP to consider the importance of pulse modulation makes their “safety guidelines” indefensible. Secondly, these findings clearly show that average intensities cannot be used to predict biological effects. Therefore, the ICNIRP and other “safety guidelines” based on such average intensities are all deeply flawed. Thirdly the introduction of new highly pulsed, smarter devices and production of many more individual “smart” devices with each passing month, week or even day, makes the failure of these safety guideline increasingly severe with time.
iv. Nanosecond pulses also produce biological effects Batista Napotnik et al. [132]; Pall [133]. These are pure EMF pulses, not pulses modulating an underlying frequency, with pulse times between 1 nanosecond and 1 microsecond. These pulse times are, therefore circa 10-12 times the 6 minute or 30 minute times used by the “safety guidelines.” If one averages nanosecond pulse intensities over 6 minutes or 30 minutes, the average intensities drop by a factor of circa 1011 to 1012 producing such low average intensities so the “safety guidelines” claim they cannot produce the effects that have repeatedly been produced Batista Napotnik et al. [132]; Pall [133]. Consequently, effects produced in nanosecond pulse studies are an additional type of evidence showing that average intensities over a 6 minute or 30 minute period cannot be used to predict biological effects.
v. EMFs act via activation of channels regulated by a voltage sensor. Each of the 11 channels summarized in Table 8 are activated are activated by EMFs and controlled by a similar voltage sensor structure. Coherent electronically generated EMFs act, as discussed above, by placing strong electric and time varying magnetic forces on the circa 20 charged amino acid side chains that make up the voltage sensor Pall [11]. The calcium channels are most important both because the Ca2+ ions have by far the highest electrochemical gradient across the plasma membrane and because of the biological importance of [Ca2+]cyt. Because the voltage sensor is the main structure that tranduces electric forces into physiological and biochemical changes in animals and plants, it should not be surprising that the voltage sensor is the main target of low intensity EMFs. The role of EMF electric and time varying magnetic forces in producing biological effects is completely ignored by the “safety guidelines.”

vi. EMF-induced increases in [Ca2+]cyt produce widespread important effects in plants Figure 2-4 in this paper and in animals including humans Figure 1 in Pall [11]. 5 and 6 here show that “safety guidelines” not only ignore all demonstrated non-thermal effects, but they also ignore the most important documented mechanism for producing non-thermal effects.
vii. The most important EMF study, in my opinion, is the El-Swefy et al. [134] study (see also discussion in Pall [11]. El- Swefy et al. [134] showed that 2 h/day of low intensity 3G cell phone tower radiation for 4 weeks in rats, produced massive neurodegeneration in the brains of the rats [135-156]. Cell phone tower radiation caused approximately 34% of the brain cells in the rats to die in 4 weeks. 11 measured and 4 behavioral changes in the rats were each greatly lowered by the VGCC-specific calcium channel blocker, amlodipine. It follows that each of these 15 changes in the rats were produced largely or completely via VGCC activation. “Safety guidelines” falsely claim that none of these findings can possibly occur.
Each of these 7 types of findings falsify the safety guidelines while each is universally ignored by the telecommunications industry and the regulatory bodies. Falsification is THE strongest type of evidence in the scientific method such that falsification requires that the ICNIRP and similar “safetys guidelines” be thrown out [157-169]. Who, then is at fault here? The fault lies not just with ICNIRP and the regulatory agencies but also with the vested interests that have pressured them to adopt false “safety guidelines.”
Summary
a. EMFs act in animals and in plants via activation of voltage-controlled plasma membrane calcium channels producing [Ca2+]cyt elevation
b. Important consequences of such activation produced by [Ca2+]cyt elevation in plants that are apparently relevant to the four-part proposed mechanism impacting “wildfires” are summarized in Figure 2.
c. Properties of these fires are described that are inconsistent with predominant fire causation via climate change [170-181].
d. EMFs produce elevation of terpene synthesis and also terpene oxidation.
e. EMF elevation of terpenes and three other volatiles (volatile products of lipid peroxidation, polyamines and methyljasmonate) each depolarize plant cell plasma membranes, activating the calcium channels in 1 above, thus spreading and amplifying EMF-like effects. Volatiles act predominantly during prolonged very low wind conditions, selectively impacting low growing plants.
f. Terpenes react with EMF-induced free radicals and O2 to produce products falling into three classes of explosive compounds, hydroperoxides, nitrate esters and nitro-compounds. These may act to produce explosive burning of impacted low growing plant materials.
g. Hydroperoxides also act selectively under sustained periods of extremely low wind, to produce spontaneous combustion in EMF and volatile-impacted plant materials.
h. Four large and important fires were examined for historic wind conditions preceding the apparent occurrence of those fires; In each of the four but not in a “negative control,” wind conditions closely followed those predicted by these EMF and volatile-induced mechanisms.
i. While many EMFs are likely to contribute to the severity of these mechanisms, dirty electricity from digital inverters used for photo-voltaic or wind generated electric power generation in high voltage power lines may be paramount among them. Therefore, these well-intentioned efforts to lower climate change may be increasing fire severity rather than decreasing such severity.
References
- Sacramento Bee (2018) Camp Fire Now 135,000 acres, 35% contained https://www.sacbee.com/news/california/fires/article221639595.html (Accessed March I, 2024).
- (2017) Santa Rosa Tubbs Fire Aftermath. YouTube. https://www.youtube.com/watch?v=AYvPOkR-uek (Accessed Nov. 29, 2021).
- (2018) PG&E power lines sparked two fires in Santa Rosa last October, city probe finds. San Francisco Business Times. https://www.bizjournals.com/sanfrancisco/news/2018/02/05/pg-e-power-lines-santa-rose-fires.html.
- Explosive fire again threatens Paradise, town devastated by California’s deadliest blaze. https://www.latimes.com/california/story/2020-09-09/paradise-devastated-by-californias-deadliest-fire-again-threatened-by-new-blazes (Accessed June 4, 2022).
- California wildfire was world's costliest natural disaster in 2018, insurer says. https://www.nbcnews.com/news/us-news/california-wildfire-was-world-s-costliest-natural-disaster-2018-insurer-n956376 (Accessed June 4, 2022).
- Australia bushfires of 2009: Kinglake Victoria, Australia https://kids.britannica.com/students/article/Australian-bushfires/629041/media?assemblyId=189735 (Accessed April 17, 2023).
- (2022) New Mexico Fire. https://3gz8cg829c.execute-api.us-west-2.amazonaws.com/prod/image-renderer/original/full/1600/center/80/ac848bad-ac47-4e4e-8381-964ceb52b2a1-PoevilleFireAftermath07_RTAG.jpg (Accessed July 20, 2022).
- Denver P (2022) Colorado wildfire snuffs over 500 homes. Reprinted aerial photo of Black Forest Fire in Black Forest, Colorado. https://www.denverpost.com/2013/06/18/colorado-wildfire-snuffs-over-500-homes-california-fire-a-threat/ (Accessed Aug. 7, 2022).
- Drone Footage of Phoenix, Oregon. https://www.youtube.com/watch?v=-UKC2jOrGag (Accessed Aug. 21, 2022).
- Pall ML (2016) Electromagnetic fields act similarly in plants as in animals: Probable activation of calcium channels via their voltage sensor. Curr Chem Biol 10: 74-82.
- Pall ML (2021) Millimeter (MM) wave and microwave frequency radiation produce deeply penetrating effects: the biology and the physics. Rev Environ Health.
- Kaur S, Vian A, Chandel S, Singh HP, Batish DR (2021) Sensitivity of plants to high frequency electromagnetic radiation: cellular mechanisms and morphological changes. Rev Environ Sci Biotechnol 20: 55-74.
- Vian A, Roux D, Girard S, Bonnet P, Paladian F (2006) Microwave irradiation affects gene expression in plants. Plant Signal Behav 1: 67-70.
- Vian A, Davies E, Gendraud M, Bonnet P (2016) Plant responses to high frequency electromagnetic fields. BioMed Res Int.
- Halgamuge MN (2017) Review: weak radiofrequency radiation exposure from mobile phone radiation on plants. Electromag Biol Med 36: 213-235.
- Drerup MM, Schlucking K, Hashimoto K, Manishankar P, Steinhorst L (2013) The calcineurin B-Like calcium sensors CBL1 and CBL9 together with their interacting protein kinase CIPK26 regulate the Arabidopsis NADPH oxidase RBOHF. Mol Plant 6: 559-569.
- Qu YN, Yan M, Zhang Q (2017) Functional regulation of plant NADPH oxidase and its role in signaling. Plant Signal Behav 12(8): e1356970.
- Qiu ZB, Guo JL, Zhang MM, Lei MY, Li ZL (2013) Nitric oxide acts as a signal molecule in microwave pretreatment induced cadmium tolerance in wheat seedlings. Acta Physiol. Plantarum 35: 65-73.
- Lanteri ML, Pagnussat GC, Lamattina L (2006) Calcium and calcium-dependent protein kinases are involved in nitric oxide- and auxin-induced adventitious root formation in cucumber. J Exp Bot 57: 1341-1351.
- Lv XZ, Li HZ, Chen XX, Xiang X, Guo ZX (2018) The role of calcium-dependent protein kinase in hydrogen peroxide, nitric oxide and ABA-dependent cold acclimation. J Exp Bot 69: 4127-4139.
- Corpas FJ, Barroso JB, Carreras A, Valderrama R, Palma JM (2006) Constitutive arginine-dependent nitric oxide synthase activity in different organs of pea seedlings during plant development. Planta 224: 246-254.
- Mousavi SA, Chauvin A, Pascaud F, Kellenberger S, Farmer EE (2013) Glutamate receptor-like genes mediate leaf to leaf wound signalling. Nature 500: 422-426.
- Vincent TR, Avramova M, Canham J, Higgins P, Bilkey N, et al. (2017) Interplay of plasma membrane and vacuolar ion channels, together with BAK1, elicits rapid cytosolic calcium elevations in Arabidopsis during aphid feeding. Plant Cell 29: 1460-1479.
- Hedrich R, Salvador-Recatalà V, Dreyer I (2016) Electrical wiring and long-distance plant communication. Trends Plant Sci 21: 376-387.
- Hu ZH, Li T, Zheng J, Yang K, He X (2015) Ca2+ signal contributing to the synthesis and emission of monoterpenes regulated be light intensity in Lilium ‘siberia.’ Plant Physiol Biochem 91: 1-9.
- Mohanta TK, Occhipinti A, Zebelo SA, Foti M, Fleigmann J (2012) Ginkgo biloba responds to herbivory by activating early signaling and direct defenses. PLOS One 7(3): e32822.
- Pintus F, Medda R, Rinaldi AC, Dpanò D, Floris G (2010) Euphorbia latex biochemistry: Complex interactions in a complex environment. Plant Biosys 144: 381-391.
- Godard KA, White R, Bohlmann J (2008) Monoterpene-induced molecular responses in Arabidopsis thaliana. Phytochem 69: 1838-1849.
- Staudt M, Seufert G (1995) Light-dependent emission of monoterpenes by holm oak (Quercus ilex L.). Naturwissenschaften 82: 89-92.
- Soran ML, Stan M, Niinemets U, Copolovici L (2014) Influence of microwave frequency electromagnetic radiation on terpene emission and content in aromatic plants. J Plant Physiol 171: 1436-1443.
- Matsui K, Sugimoto K, Mano J, Ozawa R, Takabayashi J (2012) Differential metabolisms of green leaf volatiles in injured and intact parts of a wounded leaf meet distinct ecophysiological requirements. PLOS One 7(4): e36433.
- Lung I, Soran ML, Opriş O, Truşcă MRC, Niinemets U (2016) Induction of stress volatiles and changes in essential oil content and composition upon microwave exposure in the aromatic plant Ocimum basilicum. Sci Total Environ 569-570:489-495.
- Corpas FJ, Palma JM, Del Rio LA, Barroso JB (2013) Protein tyrosine nitration in higher plants grown under natural and stress conditions. Front Plant Sci pp: 25.
- Ranty B, Aldon D, Cotelle V, Galaud JP, Thuleau P (2016) Calcium sensors as key hubs in plant responses to biotic and abiotic stresses. Front Plant Sci 7: 327
- Sanders D, Pelloux J, Brownlee C, Harper JF (2002) Calcium at the crossroads of signaling. Plant Cell 14(Suppl1): S401-S417.
- Singh A, Sagar S, Biswas DK (2017) Calcium dependent protein kinase, a versatile player in plant stress management and development. CRC Crit Rev Plant Sci 36: 336-352.
- Radhakrishnan R (2019) Magnetic field regulates plant functions, growth and enhances tolerance against environmental stresses. Physiol Mol Biol Plants 25: 1107-1119.
- Trebbi G, Borghini F, Lazzarato L, Torrigiani P, Calzoni GL (2007) Extremely low frequency weak magnetic fields enhance resistance of NN tobacco plants to tobacco mosaic virus and elicit stress-related biochemical activities. Bioelectromagnetics 28: 214-223.
- Szabó C (2003) Multiple pathways of peroxynitrite cytotoxicity. Toxicol Let 140-141: 105-112.
- Bartesaghi S, Radi R (2018) Fundamentals on the biochemistry of peroxynitrite and protein tyrosine nitration. Redox Biol 14: 618-625.
- Lipid Peroxidation, Wikipedia. https://en.wikipedia.org/wiki/Lipid_peroxidation (Accessed Nov. 29, 2021).
- Wang XP, Zhu BP, Jiang ZH, Wang SC (2019) Calcium-mediation of jasmonate biosynthesis and signaling in plants. Plant Sci 287: 110192.
- Munemasa S, Hossain MA, Nakamura Y, Mori IC, Murata Y (2011) The Arabidopsis calcium-dependent protein kinase, CPK6, functions as a positive regulator of methyl jasmonate signaling in guard cells. Plant Physiol 155(1): 553-561.
- Asai N, Nishioka T, Takabayashi J, Furuichi T (2009) Plant volatiles regulate the activities of Ca2+-permeable channels and promote cytoplasmic calcium transients in Arabidopsis leaf cells. Plant Signal Behav 4(4): 294-300.
- Zebelo SA, Matsui K, Ozawa R, Maffei ME (2012) Plasma membrane potential depolarization and cytosolic calcium flux are early events involved in tomato (Solanum lycopersicon) plant-to-plant communication. Plant Sci 196: 93-100.
- Zebelo SA, Maffei ME (2015) Role of early signalling events in plant-insect interactions. J Exp Bot 6: 435-448.
- Maffei ME (2012) Monoterpenoid plant-plant interactions upon herbivory. Curr Bioreact Comp 8: 65-70.
- Ozawa R, Bertea CM, Foti M, Narayana R, Arimura GI (2010) Polyamines and jasmonic acid induce plasma membrane potential variations in Lima bean. Plant Signal Behav 5: 308-310.
- Wu J, Baldwin IT (2009) Herbivory‐induced signalling in plants: perception and action. Plant Cell Environ 32: 1161-1174.
- Shioziri K, Ishizaki S, Ozawa R, Karban R (2016) Plant Signal. Behav 10: e1095416.
- Unsicker SB, Kunert G, Gershenzon J (2009) Protective perfumes. The role of vegetative volatiles in plant defense against herbivores. Cur Opin Plant Biol 12: 479-485.
- Woldemariam MG, Baldwin IT, Galis I (2011) Transcriptional regulation of plant inducible defenses against herbivores: a mini-review. J Plant Interact 6: 113-119.
- Pérez-Hedo M, Alonso-Valiente M, Vacas S, Gallego C, Rambla JL (2021) Eliciting tomato plant defenses by exposure to herbivore induced plant volatiles. Entomol Gen 41: 209-218.
- Tong T, Li Q, Jiang W, Chen G, Xue DW (2021) Molecular evolution of calcium signaling and transport in plant adaptation to abiotic stress. Int J Mol Sci 22(22): 12308.
- Crisp PA, Ganguly G, Eichten SR, Borevitz JO, Pogson BJ (2016) Reconsidering plant memory: Intersections between stress recovery, RNA turnover, and epigenetics. Sci Adv 2(2): e1501340.
- Thellier M, Lüttge U (2012) Plant memory: a tentative model. Plant Biol 15: 1-12.
- Sato Y, Akiyoshi M, Miyake A, Matsunaga T (2011) Prediction of explosibility of self-reactive materials by calorimetry of a laboratory scale and thermochemical calculations. Science Technol. Energetic Mater 72: 97-105.
- Yoshida T, Muranaga K, Matsunaga T, Tamura M (1985) Evaluation of explosive properties of organic peroxides with a modified MK-III ballistic mortar. J Hazard Mater 12: 27-41.
- Williams RE, Rathbone DA, Scrutton NS, Bruce NC (2004) Biotransformation of explosives by the old yellow enzyme family of flavoproteins. Appl Environ Microbiol 70: 3566-3574.
- Bäcktorp C, Hagvall L, Börje A, Karlberg AT, Norrby PO (2008) Mechanism of air oxidation of the fragrance terpene geraniol. J Chem Theory Comput 4: 101-106.
- Bitterling H, Lorenz P, Vetter W, Conrad J, Kammerer DR (2020) Rapid spectrophotometric method for assessing hydroperoxide formation from terpenes in essential oils upon oxidative conditions. J Agric Food Chem 68: 9576-9584.
- Christensson JB, Matura M, Gruvberger B, Bruze M, Karlberg AT (2010) Linalool-a significant contact sensitizer after air exposure. Contact Derm 62: 32-41.
- Calandra MJ, Wang Y (2020) Oxidative decarboxylation of 2‐oxoacids by hydroperoxides can be used to lower peroxide values in citrus oils. Flavour Fragr J 35: 107-113.
- Nilsson J, Carlberg J, Abrahamsson P, Hulthe G, Persson BA (2008) Evaluation of ionization techniques for mass spectrometric detection of contact allergenic hydroperoxides formed by autoxidation of fragrance terpenes. Rap Commun Mass Spectrom 22: 3593-3598.
- Eddingsaas NC, Loza CL, Yee LD, Seinfeld JH, Wennberg PO (2012) α-Pinene photooxidation under controlled chemical conditions - Part 1: Gas-phase composition in low- and high-NOx environments. Atmos Chem Phys 12: 6489-6504.
- Lymar SV, Jiang Q, Hurst JK (1996) Mechanism of carbon dioxide-catalyzed oxidation of tyrosine by peroxynitrite. Biochem 35: 7855-7861.
- Augusto O, Goldstein S, Hurst JK, Lind J, Lymar SV (2019) Carbon dioxide-catalyzed peroxynitrite reactivity-The resilience of the radical mechanism after two decades of research. Free Rad Biol Med 135: 210-215.
- Kern S, Granier T, Dkhil H, Haupt T, Ellis G (2014) Stability of limonene and monitoring of a hydroperoxide in fragranced products. Flavour Fragr J 29: 277-286.
- Pye HOT, Chan AWH, Barkley MP, Seinfeld JH (2010) Global modeling of organic aerosol: the importance of reactive nitrogen (NOx and NO3). Atmos Chem Phys 10: 11261-11276.
- McKnight EA, Kretekos NP, Owusu D, LaLonde RL (2020) Technical note: Preparation and purification of atmospherically relevant alpha-hydroxynitrate esters of monoterpenes. Atmos Chem Phys 20: 4241-4254.
- Nitrate Esters, Wikipedia. https://en.wikipedia.org/wiki/Nitrate_ester (Accessed Dec. 30, 2021).
- Grosjean D, Williams EL (1992) Environmental persistence of organic compounds estimated from structure-reactivity and linear free-energy relationships. Unsaturated aliphatics. Atmos Environ A Gen Top 26: 1395-1405.
- Pommer L, Fick J, Andersson B, Nilsson C (2004) The influence of O3, relative humidity, NO and NO2 on the oxidation of α-pinene and Δ3-carene. J Atmos Chem 48: 173-189.
- Schwantes RH, Emmons LK, Orlando JJ, Barth MC, Tyndall GS (2020) Comprehensive isoprene and terpene gas-phase chemistry improves simulated surface ozone in the southeastern US. Atmos Chem Phys 20: 3739-3776.
- Giamalva DH, Church DF, Pryor WA (1986) Kinetics of ozonation. 5. Reactions of ozone with carbon-hydrogen bonds. J Am Chem Soc 108:: 7678-7681.
- Badgujar DM, Talawar MB, Asthana MB, Mahulikar PP (2008) Advances in science and technology of modern energetic materials: an overview. J Hazard Mater 151: 289-305.
- Xiao HM, Fan JF, Gong XD (1997) Theoretical study on pyrolysis and sensitivity of energetic compounds. Part I: Simple model molecules containing NO2 group. Explosives Propell Pyrotec 22: 360-364.
- Zhang YX, Bauer SH (1999) Gas phase decomposition of C-NO2, N-NO2 energetic materials. Reevaluations. Int J Chem Kinet 31: 655-673.
- Zhang Y, Fu YY, Zhu DF, Xu JQ, He QG (2016) Recent advances in fluorescence sensor for the detection of peroxide explosives. Chin Chem Lett 27: 1429-1436.
- Zhang Q, Zheng YF, Liu XM, Wang, B, Ma L (2017) Hydroperoxide formation and thermal stability of ethyl t-butyl ether oxidation. Energy Fuels 31: 8162-8170.
- Vogelsanger B (2004) Chemical stability, compatibility and shelf life of explosives. Chimia 58: 401-408.
- Guo Q, Tang YB (2022) Laboratory investigation of the spontaneous combustion characteristics and mechanisms of typical vegetable oils. Pp:122887.
- Chen L, Qi X, Tang J, Xin H, Liang Z (2021) Reaction pathways and cyclic chain model of free radicals during coal spontaneous combustion.
- Juita Dlugogorski BZ, Kennedy EM, Mackie JC (2011) Oxidation reactions and spontaneous ignition of linseed oil. Proc Combust Inst 33(2): 2625e32.
- Juita Dlugogorski BZ, Kennedy EM, Mackie JC (2013) Roles of peroxides and unsaturation in spontaneous heating of linseed oil. Fire Saf J 61: 108e15.
- Dlugogorski BZ, Kennedy EM, Mackie JC (2013) Roles of peroxides and unsaturation in spontaneous heating of linseed oil. Fire Saf J 61: 108-115.
- Huo Y, Zhu H (2022) Experimental and quantum chemical study on the inhibition characteristics of glutathione to coal oxidation at low temperature. ACS Omega 35: 31448-31465.
- Li JH, Li ZH, Yang YL, Kong B, Wang CJ (2018) Laboratory study on the inhibitory effect of free radical scavenger on coal spontaneous combustion. Fuel Process Technol 171: 350-353.
- Matunaga A, Yasuhara A, Shimizu Y, Shimizu Y, Shibamoto T (2008) Investigation on the spontaneous combustion of refuse-derived fuels during storage using a chemiluminescence technique. Waste Manag Res 26: 539-545.
- Ogle RA, Dillon SE, Fecke M (2014) Explosion from a smoldering silo fire. Process Saf Prog 33: 94-103.
- Tubbs Fire. Wikipedia. https://en.wikipedia.org/wiki/Tubbs_Fire (Accessed Aug. 20, 2022).
- Luke Gallin (2019) Thomas Fire caused by power lines coming into contact, says report. Reinsurance. https://www.reinsurancene.ws/2017-thomas-fire-caused-by-power-lines-coming-into-contact-says-report/ (Accessed July 29, 2022).
- Priyanka B (2019) Camp Fire: By the Numbers. Frontline. https://www.pbs.org/wgbh/frontline/article/camp-fire-by-the-numbers/ (Accessed Dec. 3, 2021). https://abc7.com/camp-fire-cal-pacific-gas-and-electric-paradise/5302137/ (Accessed Sept. 1, 2022)
- Camp Fire (2018) Wikipedia. https://en.wikipedia.org/wiki/Camp_Fire_(2018) (Accessed Dec. 3, 2021).
- Cal Fire News Release: CAL FIRE Investigators Determine Cause of the Camp Fire. https://www.fire.ca.gov/media/5121/campfire_cause.pdf (Accessed Dec. 3, 2021).
- Fire Aftermath in Phoenix, Oregon One Month Post Burn. https://www.youtube.com/watch?v=2_e5F4Oy9ZI (Accessed July 29, 2022).
- 2020 Oregon wildfires https://en.wikipedia.org/wiki/2020_Oregon_wildfires (Accessed Aug. 25, 2022).
- S. Energy Mapping System. https://www.eia.gov/state/maps.php (Accessed Aug. 25, 2022).
- Ted S (2020) PacifiCorp could face substantial liability if down power lines caused Oregon wildfires. The Oregonian/Oregon Live.
- Caldor Fire (OmoRanch, El Dorado, CAA) - IC reports a 2nd fire in the same area, believes it is too far to be a spot fire & they are having a hard time finding access, states they will probably burn together. https://california.liveuamap.com/en/2021/15-august-caldorfire-omoranch-el-dorado-co--ic-reports-a (Accessed Dec, 14, 2021).
- Sonia V, Cristina H, El Pais (2017) Wildfires in northern Spain: ‘Fall from hell’ in Galicia as fires lay waste to region. https://english.elpais.com/elpais/2017/10/17/inenglish/1508231214_008450.html (Accessed Dec. 12, 2021).
- PG&E uses helicopter technology to analyze Bay Area power line environments. The Mercury News, Nick Sestanovich. https://www.mercurynews.com/2022/09/02/pge-uses-helicopter-technology-to-analyze-power-line-environments/ (Accessed Sept. 14, 2022).
- (2019) South Korea: Fire breaks out near Goseong April 4. Garda World. https://www.garda.com/crisis24/news-alerts/219046/south-korea-fire-breaks-out-near-goseong-april-4 (Accessed Nov. 29, 2021).
- (2019) South Korea declares state of emergency as 'unprecedented' wildfires force thousands to flee. Julian Ryall, The Telegraph. https://www.telegraph.co.uk/news/2019/04/05/thousands-flee-homes-wildfires-rip-south-korea/ (Accessed Nov. 29, 2021).
- (2019) South Korea launches 5G network early to secure world first. The Hindu. https://www.thehindu.com/sci-tech/technology/s-korea-launches-5g-networks-early-to-secure-world-first/article26730605.ece (Accessed Nov. 29, 2021).
- Pall ML (2018) Wi-Fi is an important threat to human health. Environ Res 164: 405-416.
- Intel to show off 5G network at 2018 Winter Olympics. https://venturebeat.com/2017/10/30/intel-to-show-off-5g-network-at-2018-winter-olympics/ (Accessed August 3, 2022).
- Bedeloğlu M, Özen Ş (2021) Measurement and analysis of electric and magnetic field strength in grid-tied photovoltaic power system components. Radiat Prot Dosim 194: 57-64.
- Juswardy B, Schlagenhaufer F, Padhi S, Hall P (2011) Radiated EMI emission study on photovoltaic module for radio astronomy receiver front-end. In: Electromagnetic Compatibility Symposium-Perth p: 1-4.
- Rachid C, Bahia B, Hind D (2012) Application of an active power filter on photovoltaic power generation system. IJRER 2 pp: 583-590. https://dergipark.org.tr/en/download/article-file/148404 (Accessed August 8, 2022).
- Jeffery RD, Krogh C, Horner B (2013) Adverse health effects of industrial wind turbines. Can Fam Physician 59: 473-475.
- Switched-mode power supply. Wikipedia. https://en.wikipedia.org/wiki/Switched-mode_power_supply (Accessed July 13, 2022).
- Milham S, Stetzer D (2018) The electronics in fluorescent bulbs and light emitting diodes (LED), rather than ultraviolet radiation, cause increased malignant melanoma incidence in indoor office workers and tanning bed users. Med Hypoth 116: 33-39.
- Lehman B, Wilkins AJ (2014) Designing to mitigate the effects of flicker in LED lighting: Reducing risks to health and safety. IEEE Power Electron Mag pp: 19-26
- Long LC, Sayed WE, Munesswaran V, Moonen N, Smolenski R (2021) Assessment of conducted emission for multiple compact fluorescent lamps in various grid topology. Electronics 10(18): 2258.
- Gonzalez D, Guerra N, Colon J, Gabriel D, Ponsa S (2019) Filling in sewage sludge biodrying gaps: Greenhouse gases, volatile organic compounds and odour emissions. Bioresour. Techno 291: 121857.
- ICNIRP (2009) International Commission on Non-ionizing Radiation Protection. ICNIRP statement on the Guidelines for limiting exposure to time-varying electric, magnetic and electromagnetic fields (up to 300 GHz). Health Phys 97: 257-258.
- ICNIRP Guidelines (1997) International Commission on Non-ionizing Radiation Protection. Guidelines on limits of exposure to incoherent optical radiation (0.38-3 μm). Health Phys 73: 539-554.
- Glaser ZR (1971) Naval Medical Research Institute Research Report, June 1971. Bibliography of Reported Biological Phenomena (“Effects”) and Clinical Manifestations Attributed to Microwave and Radio-Frequency Radiation. https://scholar.google.com/scholar?q=Glaser+naval+medical+microwave+radio-frequency+1972&btnG=&hl=en&as_sdt=0%2C38 (Accessed Sept. 9, 2017).
- Purcell EM (1985) Electricity and Magnetism Berkeley Physics Course, Volume 2, Second edition. (New York, McGraw Hill).
- ICNIRP (1998) ICNIRP guidelines for limiting exposure to time-varying electric, magnetic and electromagnetic fields (up to 300 GHz). Health Phys. 74: 494-522.
- Osipov YA (1965) Labor hygiene and the effect of radiofrequency electromagnetic fields on workers. Leningrad Meditsina Publishing House pp: 220.
- Pollack H, Healer J (1967) Review of Information on Hazards to Personnel from High-Frequency Electromagnetic Radiation. Institute for Defense Analyses; Research and Engineering Support Division.
- Frey AH (1974) Differential biologic effects of pulsed and continuous electromagnetic fields and mechanisms of effect. Ann N Y Acad Sci 238: 273-279.
- Creighton MO, Larsen LE, Stewart-DeHaan PJ, Jacobi JH, Sanwal M, et al. (1987) In vitro studies of microwave-induced cataract. II. Comparison of damage observed for continuous wave and pulsed microwaves. Exp Eye Res 45: 357-373.
- Grigorev IG (1996) Role of modulation in biological effects of electromagnetic radiation. Radiats Biol Radioecol 36: 659-670.
- Belyaev I (2005a) Non-thermal biological effects of microwaves. Microwave Rev 11: 13-29.
- Belyaev I (2005b) Non-thermal biological effects of microwaves: current knowledge, further perspective and urgent needs. Electromagn Biol Med 24: 375-403.
- Belyaev I (2015) Biophysical mechanisms for nonthermal microwave effects. In: Electromagnetic Fields in Biology and Medicine pp: 49-67.
- Pall ML (2015) Scientific evidence contradicts findings and assumptions of Canadian Safety Panel 6: microwaves act through voltage-gated calcium channel activation to induce biological impacts at non-thermal levels, supporting a paradigm shift for microwave/lower frequency electromagnetic field action. Rev Environ Health 3: 99-116.
- Panagopoulos DJ, Johansson O, Carlo GL (2015) Real versus simulated mobile phone exposures in experimental studies. Res. Int. 2015, article ID 607053, 8 pages.
- Batista NT, Reberšek M, Vernier PT, Mali B, Miklavčič D (2016) Effects of high voltage nanosecond electric pulses on eukaryotic cells (in vitro): A systematic review. Bioelectrochemistry 110: 1-12.
- Pall ML (2022) Low Intensity Electromagnetic Fields Act via Voltage-Gated Calcium Channel (VGCC) Activation to Cause Very Early Onset Alzheimer’s Disease: 18 Distinct Types of Evidence. Cur. Alzheim. Res 19: 119-132.
- El-Swefy S, Soliman H, Huessein M (2008) Calcium channel blockade alleviates brain injury induced by long term exposure to an electromagnetic field. J Appl Biomed 6: 153-163.
- Barton AM (2005) Response of Arbutus arizonica (Arizona madrone) to fire in southeastern Arizona. Southwest Nat 50: 7-11.
- Bloomberg, Fiona K (2021) Caldor Fire Explodes: Homes in Grizzly Flats destroyed, evacuations along Highway 50 under way. https://www.santacruzsentinel.com/2021/08/18/another-california-town-ravaged-by-wildfire-as-winds-fan-flames-evacuation/ (Accessed Dec. 14, 2021).
- (2018) California fire tornado had 143 mph winds, possibly state's strongest twister ever. Doyle Rice. https://www.usatoday.com/story/weather/2018/08/03/fire-tornado-california-carr-fire-143-mph-winds/897835002/ (Accessed Dec. 24, 2021).
- Caligirou A, Larsen BR, Kotzias D (1999) Gas-phase terpene oxidation products: a Review. Atmos Env 33: 1423-1439.
- Camp Fire started by PG&E owned power transmission lines: CAL FIRE. Ricky Courtney and Paige McIntyre, May 15, 2019. EYEWITNESS NEWS, ABC7. https://abc7.com/camp-fire-cal-pacific-gas-and-electric-paradise/5302137/ (Accessed Aug. 8, 2022).
- Coen JL, Schroeder W, Quayle S (2018) The generation and forecast of extreme winds during the origin and progression of the 2017 Tubbs fire. Atmosphere 9: 10.
- Joanna W (2022) Colorado wildfire: three feared dead and hundreds of homes destroyed as Biden declares disaster. The Observer Colorado. https://www.theguardian.com/us-news/2022/jan/01/colorado-wildfire-damage-biden-disaster-declaration (Accessed June 4, 2022).
- Crucial communication proves difficult as wildfires knock out cell towers. https://www.cbsnews.com/news/northern-california-wildfires-cell-towers/ (Accessed August 11, 2022).
- Deadly Woolsey Fire in Southern California takes a toll. November 14, 2018. CBS News Youtube video. https://www.youtube.com/watch?v=EuNkz-1MN9A.
- Delledonne M, Xia Y, Dixon RA, Lamb C (1998) Nitric oxide functions as a signal in plant disease resistance. Nature 394: 585-588.
- Do not risk hay fires. North Dakota State University Extension and Ag Research News, https://www.ag.ndsu.edu/news/newsreleases/2011/july-25-2011/don2019t-risk-hay-fires/view (Accessed Jan. 4, 2022).
- (2020) Fire hazard in wet bales. South Dakota State University Extension. https://extension.sdstate.edu/fire-hazard-wet-bales (Accessed Jan. 3, 2022).
- Goldsworthy A (2006) Effects of electrical and electromagnetic fields on plants and related topics. Chapter 11 in Plant Electrophysiology - Theory and Methods Editor pp: 247-267.
- Adi Robertson (2019) Investigators confirm that PG&E power lines started the deadly Camp Fire. The Verge. https://www.theverge.com/2019/5/15/18626819/cal-fire-pacific-gas-and-electric-camp-fire-power-lines-cause (Accessed Dec. 3, 2021).
- Jepson WL (1916) Regeneration in manzanita. Madroño 1: 3-12.
- Klessig DF, Ytterberg AJ, Van Wijk KJ (2003) The pathogen-inducible nitric oxide synthase (iNOS) in plants is a variant of the P protein of the glycine decarboxylase complex. Cell 113: 469-482.
- Highly decorated fire captain John Lord speaks out about CA fires. https://www.youtube.com/watch?v=iQtDEa6wceE (Accessed Oct. 29, 2021).
- Huo YJ, Zhu HQ, He X, Fang SH, Wang W (2021) Quantum chemistry calculation study on chain reaction mechanisms and thermodynamic characteristics of coal spontaneous combustion at low temperatures. ACS Omega 6: 30841-30855.
- Last October Documentary. City of Santa Rosa, CA. https://www.youtube.com/watch?v=wC5w5J836XU (Accessed Nov. 29, 2021).
- (2017) Man finds tree burning from within in Sonoma county.
- (2023)Maui Hawaii wildfires update and aftermath– YouTube. ABC News. https://www.youtube.com/watch?v=9PVtropk_VQ (Accessed August 11, 2023).
- MELTED SMART METERS!! Part 2 Paradise Fires--Massive "Event" Expert Testimony Retired Fire Captains. https://www.youtube.com/watch?v=W3dZf07f9F4&list=PLYlyvTDOcAwQM3s5xxvzefISPMVD0uEcp&index=2 (Accessed Dec, 9, 2021).
- Modolo LV, Cunha FQ, Braga MR, Salgado I (2002) Nitric oxide synthase-mediated phytoalexin accumulation in soybean cotyledons in response to the Diaporthe phaseolorum f. sp. meridionalis elicitor. Plant Physiol 130: 1288-1297.
- Nøjgaard JK, Bilde M, Stenby C, Nielsen OJ, Wolkoff P (2006) The effect of nitrogen dioxide on particle formation during ozonolysis of two abundant monoterpenes indoors. Atmos Environ 40: 1030-1042.
- (2017) Norcal Fire Captain Says DEW the 'Only Plausible Explanation'. https://forbiddenknowledgetv.net/norcal-fire-captain-says-dew-the-only-plausible-explanation/ (Accessed Nov. 29, 2021).
- Oregon fires have burned about a million acres, Wildfire (Accessed June 4, 2022).
- Pall ML (2013) Electromagnetic fields act via activation of voltage‐gated calcium channels to produce beneficial or adverse effects. J Cell Mol Med 17: 958-965.
- (2018) Paradise Lost: Inside California's Camp Fire, 60 Minutes' 2018 report. https://www.youtube.com/watch?v=Y9r4hlk1_Zg (Accessed Dec. 3, 2021).
- Part 1 Paradise Fires-Massive "Event" Expert Testimony Retired Fire Captains. Youtube video. https://www.youtube.com/watch?v=Ma26EBzJkxE&list=PLYlyvTDOcAwQM3s5xxvzefISPMVD0uEcp&index=1 (Accessed Dec. 9, 2021).
- Pazur A, Rassadina V (2009) Transient effect of weak electromagnetic fields on calcium ion concentration in Arabidopsis thaliana. BMC Plant Biol 9: 47.
- Pottosin I, Velarde-Buendía AM, Bose J (2014) Polyamines cause plasma membrane depolarization, activate Ca2+-, and modulate H+-ATPase pump activity in pea roots. J Exp Bot 65: 2463-2472.
- Rodriguez-Saona C, Crafts-Brander SJ, Pare PW, Henneberry TJ (2001) Exogenous methyl jasmonate induces volatile emissions in cotton plants. J Chem Ecol 27: 679-695.
- Roux D, Vian A, Sebastian G, Bonnet P, Paladian F (2006) Electromagnetic fields (900 MHz) evoke consistent molecular responses in tomato plants. Physiol Plant 128: 283-288.
- (2017) Santa Rosa fire: How a sudden firestorm devastated a city. Julia Prodis Sulek. The Mercury News. https://www.mercurynews.com/2017/10/09/santa-rosa-fire-how-a-sudden-firestorm-obliterated-a-city/ (Accessed Dec. 24, 2021).
- (2017) Santa Rosa Fires Drone Douglas Throne, https://www.youtube.com/watch?v=ItcrGFBn39A (Accessed Nov. 29, 2021).
- Smith D, Resmovits J (2017) Damaged cell towers create communication problems in Northern California fire zone. Reprinted in the Pittsburgh Post Gazette. https://www.post-gazette.com/news/nation/2017/10/10/Damaged-cell-towers-create-communication-problems-in-Northern-California-fire-zone/stories/201710100221 (Accessed Oct. 29, 2021).
- (2011) Spontaneous combustion a possibility with wet hay. News, Oklahoma State University, https://news.okstate.edu/articles/agriculture/2020/stotts_braums-fire.html (Accessed Jan. 3, 2022).
- Stevenson CD, Garland PM, Batz ML (1996) Evidence of carbenes in the explosive nitroaromatic anion radicals. J Org Chem 61: 5948-5952.
- Taraba M, Adamec J, Danko M, Drgona P (2019) The effect of dimming and non-dimming LED lights on the quality of the electrical grid. In: 20th International Scientific Conference on Electric Power Engineering (EPE), pp. 1-5.
- Kirk J, Thomas F (2017) The Fire Is Roaring Over the Ridge. It is Time to Go. New York Times. p. 14.
- The Hazards of Linseed Oil. Department of Fire & Emergency Services Government of Western Australia. https://www.dfes.wa.gov.au/safetyinformation/fire/fireinthehome/FireintheHomeFactsheets/DFES-Home-Fire-Safety-Info-Note-Linseed-Oil.pdf (Accessed Nov. 29, 2021).
- Matt S (2020) The Terrible Consequences of Australia’s Uber-Bushfires, Matt Simon, https://www.wired.com/story/the-terrible-consequences-of-australias-uber-bushfires/ (Accessed July 29, 2022).
- Thomas Fire – Wikipedia. https://en.wikipedia.org/wiki/Thomas_Fire (Accessed April 25, 2020).
- Transport Information Service: Flax. https://www.tis-gdv.de/tis_e/ware/fasern/flachs/flachs-htm/ (Accessed Nov. 29, 2021).
- Waldmann-Selsam C, Balmori-de la Puente A, Breunig H, Balmori A (2016) Radiofrequency radiation injures trees around mobile phone base stations. Science Total Environ 572: 554-569.
- Weather Underground, Historical Weather https://www.wunderground.com/history (Accessed April 12, 2023).
- (2018) Woolsey Fire Aftermath, The Corsaire https://www.thecorsaironline.com/corsair/2018/11/14/woolsey-fire-aftermathv.

















