Abstract
A system of two difference equations with exponential nonlinearity in each equation is studied under stochastic perturbations. Conditions of the stability in probability of a positive equilibrium are studied by virtue of the general method of Lyapunov functionals construction and the method of linear matrix inequalities (LMIs). The obtained results are illustrated via examples and figures with numerical simulation of the solution of the system of stochastic difference equations. The proposed research method can be applied to nonlinear systems of higher dimension with an order of nonlinearity higher than one, both for stochastic difference equations and for stochastic differential equations with delay in various important applications, for example, in quantum physics, in population models and others.
Keywords:Nonlinear difference equations; positive equilibrium; stochastic perturbations; asymptotic mean square stability; stability in probability; linear matrix inequality (LMI); numerical simulations; MATLAB
Root Pressure
Systems of both difference and differential equations with different forms of exponential nonlinearities are very popular in research and various applications (see, for instance, [1–17] and references therein), in particular, the model from quantum physics [5], the model of Nicholson’s blowflies [2] or Mosquito population equation [12].
Here, similarly to [14], the stability of the positive equilibrium of a system with exponential nonlinearity is investigated under stochastic perturbations via the general method of Lyapunov functionals construction [16,18– 20] and the method of linear matrix inequalities (LMIs) [21–29]. However, unlike, for instance, [7,14], where the exponential nonlinearity in each equation depends on only one variable, here each equation exponentially depends on all variables of the system under consideration. The obtained results are illustrated via examples and figures with the equilibrium and numerical simulation of the solution of the considered system of difference equations. Numerical analysis of the considered LMIs is carried out using MATLAB.
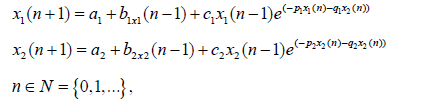
Consider the system of two nonlinear difference equations.

with positive parameters, bi < 1, and positive initial conditions
Equilibrium
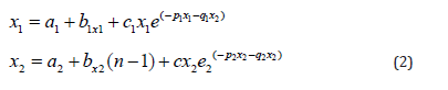
It is clear that the equilibrium (x1, x2) of the system (1) is defined by the system of two algebraic equations

Presenting the first equation (2) in the form

and calculating the logarithm, we get

Similarly, from the second equation (2) we have

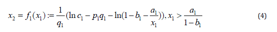
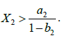
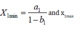
It is clear that the function x2 = f1(x1) given by (4) is defined and positive if x1 ∈ (x1min, x1max), where
unique root of the equation

which follows from (3) by x2 = 0. Calculating the derivative in (4)

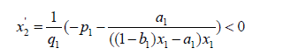
it is easy to see that x2 = f1(x1) is strictly decreasing function. Moreover,
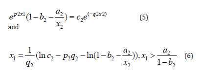
and f1 (x1max) = 0 . Calculating
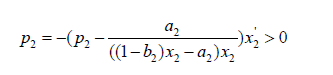
the derivative of the function x2 = f2(x1) , defined implicitly by (6), we have

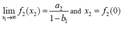
i.e x'2 > 0 It means that x= f2(x1) is strictly decreasing function for x1 >0 . Moreover
and x2= f2(0) is
a unique root of the equation




which follows from (5) by x1 = 0. It is easy to see that the root x2 of this equation satisfies the condition
.
It is clear that two strictly decreasing functions x2 = f1 x1 and x2 = f2 x1 have (see Figure1 and 2) one common point, which is a solution of the system (2) and is the unique equilibrium (x*1, x*2) of the system (1).

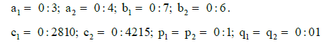
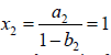
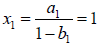
where x1max and x2max are roots of the equations (7) and (8) respectively. Example 1.1 Consider the system (1) with

Then the solution of the system (2) is from (9) and (7), (8) it follows that 
. In Figures 1 and 2 the graphs of the functions
(red) and the equilibrium (x*1, x*2) are shown.
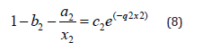
In Fig.1 also the asymptotes
and
of the functions f1(x1) and f2(x1) respectively are shown.
Let {Ω,ℑ, P} be a basic probability space, , be a nondecreasing family of sub--algebras of , i.e.,
ℑn1 ⊂ ℑn2 for nn1 < nn2 , E be the mathematical expectation with respect to the measure P, ξ1 (n) and ξ1 (n) , n∈N be two mutually independent sequences with adapted mutually independent random values such that [16]

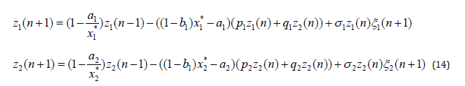
Let us assume that the system (1) is exposed to stochastic perturbations that are directly proportional to the deviation of the system state (x1(n); x2(n)) from the equilibrium (x*1, x*2) . Then the system (1) takes the form

Remark 2.1 Note that the such type of stochastic perturbations was firstly proposed in [30] for a system of Ito’s stochastic delay differential equations and was later used in many other works for both differential and difference equations (see, for instance, [16,20] and references therein). With this type of stochastic perturbations, the equilibrium of the original deterministic system remains also a solution of the stochastically perturbed system.

Using (2) with (x1, x2) = (x*1, x*2), from the first equation (12) we have Similarly, for the second equation (12) we get

As a result, we obtain the nonlinear system with the zero solution

Remark 2.2 Note that stability of the zero solution of the system (13) is equivalent to stability of the equilibrium of the system (11).
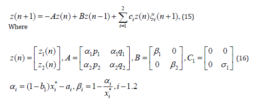
Using (2) and the linear approximation e(−x) =1− x + 0(x) where
we obtain the linear part of the
system (13)

Representing the linear system (14) in the matrix form, we get

Stability
Some necessary definitions and statements
Let ′ be the transposition sign. Put now

Definition 3.1 ([16]). The zero solution of the system (13) is called stable in probability if for any and there exists such that the solution y(n) = y(n,φ ) of the system (13) satisfies the inequality p{sup | y(n) |>ε } <ε1 for any initial function φ ( j) such
that
= where 
Definition 3.2 ([16]). The zero solution of the system (14) is called mean square stable if for each there exists aδ > 0 such that E | z(n) |2<ε , n∈N for any initial function φ (j) such that
asymptotically mean square stable if it is mean square stable and for each initial function φ ( j) such that ||φ ||2< ∞ the solution
z(n) of the system (14) satisfies the condition 
Let En = E {./ℑn} be the conditional expectation with respect to the -algebra , ℑn,Uε={y:|y|≤ε},ε =0 and V (n) =V (n +1) −V (n)
Theorem 3.1 ([16]). Let for the system (13) there exists a functional V (n) = V (n, y (-1) ,…… y(n)) satisfying the Conditions.

where > 0, c0 > 0, c1 > 0. Then the zero solution of the system (13) is stable in probability.
Theorem 3.2 ([16]). Let for the system (14) there exists a nonnegative functional V (n) = V (n, z(-1) ,…. z(n)) satisfying the conditions.

where c1 > 0, c2 > 0. Then the zero solution of the system (14) is asymptotically mean square stable.
Remark 3.1 Note that the system (13) has an order of nonlinearity higher than one. It is known [16] that in this case sufficient conditions for asymptotic mean square stability of the zero solution of the linear system (14) are also sufficient conditions for stability in probability of the zero solution of the nonlinear system (13).
Stability conditions
Theorem 3.3 Let there exist positive definite 2x2-matrices P and R such that the following linear matrix inequality (LMI)

Holds, were

the matrices C1, C2 are defined in (16) and p11; p22 are diagonal elements of the m,trix P. Then the equilibrium of the system (11) is stable in probability.
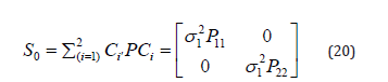
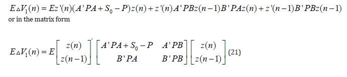
Proof: Following the general method of Lyapunov functionals construction [16,18,20], consider the functional V (n) in the form V(n) = V1(n) + V2(n), where V1(n) = z′ (Pz (n), P > 0, z(n) is defined in (16) and the additional functional V2(n) will be chosen below. For the functional V1(n) via (15) we have

From here via (10) and (20) it follows that

Using the additional functional

From (22) and the LMI (19) for some c > 0 we have EV (n) ≤| z(n) |2 , i.e., the constructed functional V (n) satisfies the conditions of Theorem 3.2. Therefore, the zero solution of the linear equation (15) is asymptotically mean square stable. Via Remarks 3.1 and 2.2 it means that the equilibrium (x*1, x*2) of the system (11) is stable in probability. The proof is completed.
Remark 3.2 Note that instead of the LMI (19) for definition of stability some other LMIs also can be used. Using,
for instance, the additional functional V2(n) in the form
instead of the LMI
(19) we obtain the LMI

If at least one from the LMIs (19) and (23) holds then the equilibrium (x*1, x*2) of the system (11) is stable in probability. Other ways to get appropriate LMIs are shown also in [14]. Example 3.1 Consider the system (11) with the values of the parameters given in Example 1.1. Via MATLAB the maximal values of = 0:232 and = 0:384 were obtained, by which the LMIs (19) and (23) hold respectively for the positive definite matrices

Figure 3 and

In Figure 3 50 trajectories of the solution of the system (11) are shown. All trajectories converge to the stable Equilibrium ()=(3,4).
Conclusion
Stability of a system of nonlinear difference equations under stochastic perturbations is investigated. The nonlinearity of exponential form in each equation depends on all variables of the system under consideration. The conditions of stability in probability for positive equilibrium of the considered system, obtained via the general method of Lyapunov functionals construction, are formulated in terms of linear matrix inequalities (LMIs) and are illustrated by numerical examples and figures. The method of stability investigation, used in the paper, can be applied to many other types of nonlinear systems with an order of nonlinearity higher than one for both difference and differential equations in various applications.
References
- Feckan M, Marynets K (2020) Study of differential equations with exponential nonlinearities via the lower and upper solutions method. Numerical Analysis and Applicable Mathematics 1(2): 1-7.
- Feng QX, Yan JR (2002) Global attractivity and oscillation in a kind of Nicholson’s blowflies. Journal of Biomathematics 17(1): 21-26.
- Francisco BBT, Rech PC (2023) Mult stability, period-adding, and spirals in a snap system with exponential nonlinearity. The European Physical Journal B 96(63).
- Kara M (2023) Investigation of the global dynamics of two exponential-form difference equations systems. Electronic Research Archive 31(11): 6697-6724.
- Kenkre VM, Jrgensen MF, Christiansen PL (1996) Exponential nonlinearity and saturation in quantum nonlinear dimers. Physica D: Nonlinear Phenomena 90(3): 280-292.
- Khan AQ (2022) Global Dynamics of a Nonsymmetric System of Difference Equations. Mathematical Problems in Engineering.
- Papaschinopoulos G, Radin MA, Schinas CJ (2011) On the system of two difference equations of exponential form: xn+1 = a + bxn−1e−yn, yn+1 = c + dyn−1e−xn. Mathematical and Computer Modelling 54(11): 2969-2977.
- Papaschinopoulos G, Radin MA, Schinas CJ (2012) Study of the asymptotic behavior of the solutions of three systems of difference equations of exponential form. Applied Mathematics and Computation 218(9): 5310-5318.
- Papaschinopoulos G, Fotiades N, Schinas CJ (2014) On a system of difference equations including negative exponential terms. Journal of Differential Equations and Applications 20(5-6): 717-732.
- Papaschinopoulos G, Ellina G, Papadopoulos KB (2014) Asymptotic behavior of the positive solutions of an exponential type system of difference equations. Applied Mathematics and Computation 245: 181-190.
- Shaikhet L (2015) Stability of equilibrium states for a stochastically perturbed exponential type system of difference equations. Journal of Computational and Applied Mathematics 290: 92-103.
- Shaikhet L (2014) Stability of equilibrium states for a stochastically perturbed Mosquito population equation. Dynamics of Continuous, Discrete and Impulsive Systems. Series B: Applications & Algorithms 21(2): 185-196.
- Shaikhet L (2023) Stability of the exponential type system of stochastic difference equations. Special Issue ”Nonlinear Stochastic Dynamics and Control and Its Applications”, MDPI, Mathematics 11(18): 3975.
- Shaikhet L (2023) Stability of equilibria of exponential type system of three differential equations under stochastic perturbations. Mathematics and Computers in Simulation 206: 105-117.
- Shaikhet L (2025) About stability of equilibria of one system of stochastic delay differential equations with exponential nonlinearity. Modern Stochastics: Theory and Applications 12(3): 313-324.
- Shaikhet L (2011) Lyapunov Functionals and Stability of Stochastic Difference Equations. Springer Science & Business Media, London.
- Thai TH, Dai NA, Anh PT (2021) Global dynamics of some system of second-order difference equations. Electronic Research Archive 29(6): 4159-4175.
- Kolmanovskii V, Shaikhet L (2002) Some peculiarities of the general method of Lyapunov functionals construction. Applied Mathematics Letters 15(3): 355-360.
- Kolmanovskii V, Shaikhet L (2003) About one application of the general method of Lyapunov functionals construction. International Journal of Robust and Nonlinear Control (Special Issue on Time Delay Systems, RNC) 13(9): 805-818.
- Shaikhet L (2013) Lyapunov Functionals and Stability of Stochastic Functional Differential Equations. Springer Science & Business Media, Berlin.
- Boyd S, El-Ghaoui L, Feron E, Balakrishnan V (1994) Linear Matrix Inequalities in System and Control Theory. SIAM: Philadelphia, PA, USA.
- Choi HH (1997) A new method for variable structure control system design: A linear matrix inequality approach. Automatica. 33: 2089-2092.
- Fridman E, Shaikhet L (2017) Stabilization by using artificial delays: an LMI approach. Automatica 81: 429-437.
- Fridman E, Shaikhet L (2018) Delay-dependent LMI conditions for stability of stochastic systems with delay term in the form of Stieltjes integral. In: Proceedings of 57th IEEE Conference on Decision and Control, Fontainebleau, Miami Beach, Florida, USA. 6567–6572.
- Fridman E, Shaikhet L (2019) Simple LMIs for stability of stochastic systems with delay term given by Stieltjes integral or with stabilizing delay. Systems & Control Letters. 124: 83-91.
- Gouaisbaut F, Dambrine M, Richard JP (2002) Robust control of delay systems: a sliding mode control design via LMI. Systems & Control Letters 46(4): 219-230.
- Nguang SK (1998) Robust H∞ control of a class of nonlinear systems with delayed state and control: an LMI approach. In: Proceedings of 37th IEEE Conference on Decision and Control, Tampa, Florida, USA 2384-2389.
- Niculescu SI (1998) H∞ memory less control with an α-stability constraint for time delays systems: an LMI approach. IEEE Transactions on Automatic Control 43(5): 739-743.
- Seuret A, Gouaisbaut F (2015) Hierarchy of LMI conditions for the stability analysis of time-delay systems. Systems & Control Letters 81:1-7.
- Beretta E, Kolmanovskii V, Shaikhet L (1998) Stability of epidemic model with time delays influenced by stochastic perturbations. Mathematics and Computers in Simulation (Special Issue” Delay Systems”) 45(3-4): 269-277.

















