Summary
Purpose of the Study: To determine the degree of frustration in children in the first years of school and evaluate the effect of antibodies to the brain-specific protein S100 in a release-active form (PA-AT S100) at the school level.
Materials and Methods: An observational study with prospective outcome assessment was conducted in a secure school setting between March and May 2021. Based on the results of the parent survey, a group of children with increased anxiety was formed. The Philips test was used, which allows assessing anxiety in children of primary school age who require therapy. The sample of children had no gender differences and had a mean age of 8.9 years (8.4; 10.4).
Results: The results confirmed the effectiveness of therapy with an anxiolytic drug and demonstrated positive dynamics with a decrease in anxiety levels in the absence of any undesirable symptoms.
Conclusion: The restoration of the child’s general emotional state and the improvement of the child’s adaptive capabilities in school life have been proven, along with a decrease in general anxiety. A decrease in the frequency and severity of negative emotional experiences with fear of self-expression has been established and an increase in abilities for self-disclosure and development of personal abilities has been shown.
Keywords:Health of School Children; Behavioral Disorders; Anxiety in Childhood
Introduction
During the school period, the child develops the foundations of his personality, builds relationships with adults and peers, and also develops an attitude towards future activities and the requirements of parents and teachers. The need to study anxiety in children is due to the inconsistency of scientific publications, in which the process of the formation of anxiety states in school conditions is of particular concern to specialists [1-4]. According to WHO, schooling is considered a socially significant risk factor for the development of maladjustment in students. This is associated with certain difficulties (new social contacts, problems of adaptation, requirements of parents and teachers for the success of educational activities, etc.) and leads to worries, depressive mood, uncertainty, indecisiveness and fears. The difficulty is that anxiety can become a stable personality characteristic when faced with real opportunities and the subsequent impact on emotional well-being, a sense of confidence, security, etc. [5-7]. Anxiety that arose in childhood can be a stable set of habits and preferences, a mental attitude and a set of psychophysical characteristics that determine everyday behavior [7,8]. The consolidation and intensification of anxiety occur through the mechanism of a “vicious psychological circle” with the accumulation of negative emotional experience, generating negative prognostic assessments, and determining attitudes towards external factors.
Experiencing troubles in school conditions is designated differently: “school neurosis”, “school phobia”, “didactogeny”, “didactogenic neuroses”. Each of the definitions indicates a different state of schoolchildren [9-12]. The use of drugs in children and adolescents is limited due to the significant frequency and severity of side effects. In this regard, an anxiolytic drug recommended for the treatment of emotional and neurological disorders in childhood is of particular interest. According to the instructions for use, the drug is created on the basis of antibodies to the brain-specific S100 protein in a release-active form (PA-AT S100), which can have a modifying effect on the functional activity of the S100 protein, which is involved in synaptic (information) and metabolic processes in the brain. The drug has an anti-anxiety (anxiolytic) effect and does not cause unwanted hypnotic or muscle relaxant effects; increases tolerance to psycho-emotional stress and has stress-protective, nootropic, antihypoxic, neuroprotective, antiasthenic, antidepressant effects. The anxiolytic activity of the drug was most significant in children aged 5 to 7 years. Treatment with Tenoten in children was accompanied by regression of symptoms of anxiety disorders on the SCAS anxiety scales “Separation Anxiety,” “Panic Attacks and Agoraphobia,” and “Social Phobia” [13].
Purpose of the study
To determine the degree of frustration in children in the first years of school and to evaluate the effect of antibodies to the brainspecific protein S100 in the release-active form (PA-AT S100) on the level of school anxiety.
Materials and Methods
To achieve this goal and based on the hypothesis of the possibility of drug correction of a high level of anxiety in children at the stage of primary school education, a target sample of children was formed. The selection was carried out by a continuous method based on behavioral disorders noted by parents, for subsequent comparison of the data obtained in the target and control groups [1]. An observational study with a prospective evaluation of the results was carried out in a typical school in Krasnoyarsk. Taking into account the information of parents about increased anxiety, a survey of children of primary school age was conducted using the Philips (Philips) test, which allows studying the level and nature of anxiety, followed by an assessment of the effectiveness of the therapy. The test includes 58 questions that were offered to schoolchildren in writing with explanations, if necessary, and recommendations to unambiguously answer each question (“Yes” or “No”) [14] The processing of the results for each of the 8 anxiety factors (in accordance with the test recommendations) took into account the total number of mismatches in the text, which made it possible to state an increased level of anxiety for subsequent observation and treatment, which included the appointment of an anxiolytic drug in accordance with the instructions [15].
Statistical processing was performed using the Microsoft Office Excel 2016, SPSS IBM Statistics 26. application package. For all data, absolute indicators and a percentage characterizing the proportion of children with a certain trait, the median (Me), quartile intervals (Q1-Q3), as well as the McNemar test for analyzing related measurements (dynamics of indicators against the background of ongoing therapy) using a dichotomous variable were calculated. This study was approved by the Ethics Committee of the Krasnoyarsk State Medical University named after Professor V.F. Voyno-Yasenetsky Ministry of Health of the Russian Federation (protocol No. 58 dated February 10, 2020). The studies were conducted after the signing of the informed consent by the legal representatives of the child. The study was performed without financial support.
Discussion and Results
Evaluation of the data obtained from the survey of parents of the study made it possible to form a target group for followup, which included 50 children with high and moderate levels of anxiety [1].The sample of children had no gender differences, the median age of the examined was 8.9 (8.4; 10.4). The control group consisted of 20 schoolchildren with stable behavioral characteristics according to the parents’ questionnaire. The results of a survey of children with the most frequent positive responses (signs) characterizing anxiety and their detectability using the Phillips test are considered. The indication for medical correction with an anxiolytic drug was the presence of signs indicated by the examined, in accordance with anxiety factors according to the Philips method. According to the hypothesis of the possible effectiveness of anxiolytic therapy, the analysis included schoolchildren whose answers to questionnaire questions (signs) showed statistically significant dynamics during treatment, followed by analysis of the results in the McNemar test (taking into account the condition that each sign contributes an equal contribution to the severity of one or another studied factor recommended by the Phillips method)(Figure 1).
In the assessment of “General anxiety at school” (factor 1), the most interesting were students with frequent manifestations of anxiety with a significant high frequency of the child’s personal emotional dissatisfaction associated with participation in school life (Figure 2). In the structure of the considered characteristics, increased concern with learning outcomes and fear of failure to fulfill the teacher’s task prevailed. The analysis of the obtained data using the McNemar criteria showed a statistically significant dynamics against the background of the therapy. The presented boxplots with the inclusion of questions on “General anxiety at school” confirmed the effectiveness of the therapy in a significant number of children and significant changes with a decrease in the negative manifestations that characterize anxiety.
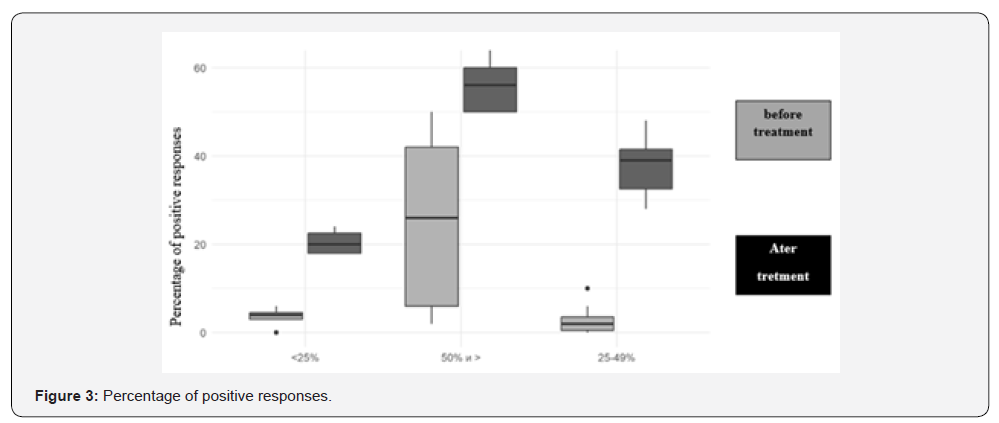
Percentage of Positive Responses
The average percentage reduction in negative responses indicating emotional distress was 30%. Against the background of the therapy, a number of manifestations of anxiety were completely leveled (excitement, trembling and excitement when answering, and fear of checking the completed task). Along with the “General anxiety at school” factor, the following three factors “Fear of selfexpression”, “Fear of a situation of knowledge testing” and “Low physiological resistance to stress” were additionally considered, which also showed a significantly positive response to the therapy (Figure 3-5). After the therapy, a comparative assessment of the factor “Fear of self-expression” showed the opposite (positive) dynamics for initially negative experiences (fear of getting into an argument and looking ridiculous among peers when working in the classroom - features 27, 34, 40). Overcoming the “Fear of the situation of knowledge testing” was established for a significant number of questions in the survey (excitement when the teacher asked, answering or completing the task, fear of re-learning and others - signs 2, 7, 12, 16, 26). The factor “Low physiological resistance to stress” was characterized by the disappearance of vegetative symptoms during repeated questioning (trembling in the knees and in the whole body, feeling faint when working in the classroom and palpitations - signs 9, 14, 18, 23, 28).





Other factors characterizing anxiety according to the Phillips test - “Frustration of the need to achieve success” (unfavorable mental background that impedes the development of the child’s need for success, achieving a high result), “Problems and fears in relations with teachers” (general negative emotional background of relations with adults at school, reducing the success of learning), and “Experience of social stress” (the emotional state of the child, against which his social contacts develop, primarily with peers) were of little significance. in the considered hypothesis of the effectiveness of the therapy (Figure 3-5). The decrease in the percentage of negative responses averaged 18-33% for various factors. The last analyzed factor “Fear of not meeting the expectations of others” was classified as insignificant, the average percentage of negative responses decreased by 6%, which is not very informative compared to other factors that showed the effectiveness of the treatment, and to regard the result of therapy as of little significance (Figure 6).

Conclusion
The younger school age is characterized by the active development of the emotional sphere, when the various experiences of the child are difficult to control. The participants in this study showed a high level of personal anxiety associated with social contacts at the stage of school education and due to relationships with peers and teachers. Children are worried about fears, worries and embarrassment when communicating with the teacher, which is accompanied by a high level of emotional dissatisfaction associated with schooling. The surveyed schoolchildren noted anxiety arising in situations of knowledge testing, receiving unsatisfactory grades, fear of making mistakes, the appearance of unwanted vegetative symptoms. The use of the Phillips technique made it possible to identify the features and most significant manifestations (signs) of eight anxiety factors and to present their possible combinations in the assessment of emotional behavioral disorders. The results of the study showed a tendency to frequent anxiety in various situations among elementary school students, which can create difficulties in later life and form functional disorders with subsequent psychosomatic problems. These circumstances determine the need for early detection of the initial manifestations of behavioral characteristics that require close attention due to the high risk of developing an anxious-neurotic personality type and a negative impact on the intellectual development of the child, as well as somatic well-being.
Drug therapy for early manifestations of anxiety is not sufficiently represented in domestic and foreign studies. The paper evaluated the drug recommended for the correction of emotional and neurological disorders in childhood. The drug has shown an anti-anxiety effect, effectiveness against fears of self-expression and a situation of knowledge testing, and also contributed to an increase in physiological resistance to stress. The treatment was not accompanied by undesirable hypnogenic and muscle relaxant effects. The results of this study showed the restoration of the general emotional state of the child and the improvement of the child’s adaptive capacity for school life against the background of a decrease in general anxiety. Along with this, the frequency and severity of negative emotional experiences associated with the fear of self-expression decreased and the ability to self-discovery and demonstrate one’s own capabilities increased. However, drug therapy cannot solve all anxiety problems. According to our data, an insignificant result was obtained in relation to some anxiety factors indicated in the Phillips test, including “Frustration of the need to achieve success”, which is characterized by an unfavorable mental background that makes it difficult to develop success and achieve high results, and “Experiencing social stress as an important emotional state in the formation of social contacts (mainly with peers), which indicates the need for a multidisciplinary approach to solving the problem with the involvement of psychotherapists, psychiatrists, clinical psychologists and other specialists.
References
- Taranushenko TE, Tepper EA, Meshkova AA (2023) Behavioral features of younger schoolchildren (according to parents' assessment) and the decision on the need for therapy 34(1): 49-52.
- Demidova IG (2020) Features of personal anxiety in children of younger adolescence. Humanitarian Scientific Bulletin 2: 76-81.
- Avdeeva NN, Bodrova OS (2018) Factors causing school anxiety in children of primary school age. Pedagogical Sciences 3(90): 10-14.
- Litvinenko NV, Chernova NN (2017) Causes of school anxiety in children of primary school age. Successes of modern science and education 1(1): 179-181.
- Bazhenova YuA, Radaeva OV (2020) Content features of school anxiety in children of primary school age brought up in a boarding school. Pedagogical Bulletin 15: 4-7.
- Klimentieva NN, Olzoeva TS (2021) Correction of school anxiety in children of primary school age by means of animal therapy. Bulletin of the Buryat State University. Education. Personality. Society 1: 71-76.
- Avdeeva NN, Bodrova OS (2018) Factors causing school anxiety in children of primary school age. Pedagogical sciences 3(90): 10-14.
- Kobazeva Yu A (2023) Features of the manifestation of school anxiety in children of primary school age. New in psychological and pedagogical research 2(69): 195-202.
- Bulycheva EV, Mokeeva MM, Setko IA, Vasilyeva FF (2021) Comparative characteristics of the formation of anxiety in modern children and adolescents of school age in educational and daily activities. Questions of school and university medicine and health 1: 24-31.
- Bartosh OP, Bartosh TP, Mychko MV (2020) Features of anxiety in children of primary school age in different cities of the Magadan region. Reproductive health of children and adolescents 16(3): 5-14.
- Stepanova VA (2020) School anxiety as a problem of the younger generation. Scientific almanac 7-1(69): 88-90.
- Sadchikova NG (2020) Comprehensive correction of the dynamics of changes in indicators of school anxiety. Innovations. The science. Education (24): 1719-1727.
- Zavadenko NN (2020) Anxiety disorders in the practice of a pediatrician and a pediatric neurologist. RMJ 28(8): 23-29.
- Raygorodsky DY (2001) Practical psychodiagnostics. Methods and tests. Study guide. Samara 669: 69-76.
- Burchinsky SG (2010) Nootropics: classification, comparative characteristics of pharmacological properties. Kiev 21.

















